background image

E1701 Modular Scanner Controller

Users Manual

© 2014-2026 by HALaser Systems GmbH

1

background image

Table of Contents

1  Copyright.........................................................................................................................................................................................................4
2  History..............................................................................................................................................................................................................7
3  Safety................................................................................................................................................................................................................9
4  Overview......................................................................................................................................................................................................10

4.1  Features..............................................................................................................................................................................................10

4.1.1  E1701D XY2-100/XY3-100 Digital Laser Scanner Controller Baseboard.................................................10
4.1.2  E1701A Analogue Laser Scanner Controller Baseboard....................................................................................11
4.1.3  E1701 LP8 Extension Board............................................................................................................................................11
4.1.4  E1701 Digi I/O Extension Board....................................................................................................................................11
4.1.5  E1701 Secondary Head Extension Board..................................................................................................................12

5  Position Within The System..................................................................................................................................................................13
6  Boards And Connectors.........................................................................................................................................................................14

6.1  E1701D XY2-100/XY3-100 Digital Laser Scanner Controller Baseboard............................................................14

6.1.1  Ethernet...................................................................................................................................................................................14

6.1.1.1  Ethernet Configuration With Windows 10..............................................................................................15
6.1.1.2  Ethernet Configuration With Windows 11..............................................................................................15
6.1.1.3  Ethernet Configuration With Linux.............................................................................................................16

6.1.2  USB.............................................................................................................................................................................................17
6.1.3  Power........................................................................................................................................................................................17
6.1.4  Power LED...............................................................................................................................................................................18
6.1.5  User LEDs................................................................................................................................................................................18
6.1.6  Laser LED.................................................................................................................................................................................19
6.1.7  Reset-Button..........................................................................................................................................................................19
6.1.8  microSD-Card........................................................................................................................................................................19

6.1.8.1  Firmware Update................................................................................................................................................26

6.1.9  Laser/Scanner Signals........................................................................................................................................................26

6.1.9.1  XY2-100 Connection Cable............................................................................................................................27
6.1.9.2  XY3-100 Connection Cable............................................................................................................................28

6.1.10  Extension Connectors.....................................................................................................................................................29
6.1.11  Stand-Alone Operation...................................................................................................................................................30

6.1.11.1  Create Stand-Alone Data with BeamConstruct..................................................................................30
6.1.11.2  Stand-Alone Configuration Parameters.................................................................................................32
6.1.11.3  Stand-Alone Control.......................................................................................................................................34

6.2  E1701A Analogue Laser Scanner Controller Baseboard...............................................................................................35

6.2.1  Ethernet...................................................................................................................................................................................35
6.2.2  USB.............................................................................................................................................................................................35
6.2.3  Power........................................................................................................................................................................................36
6.2.4  Power LED...............................................................................................................................................................................36
6.2.5  User LEDs................................................................................................................................................................................36
6.2.6  Laser LED.................................................................................................................................................................................37
6.2.7  microSD-Card........................................................................................................................................................................37
6.2.8  Laser/Scanner Signals........................................................................................................................................................37
6.2.9  Extension Connectors........................................................................................................................................................38
6.2.10  DAC Heatsinks...................................................................................................................................................................38
6.2.11  Stand-Alone Operation...................................................................................................................................................38

6.3  E1701 LP8 Extension Board......................................................................................................................................................39

6.3.1  MO LED....................................................................................................................................................................................39
6.3.2  Laser Signals...........................................................................................................................................................................39
6.3.3  Extension Connectors........................................................................................................................................................40

6.4  E1701 Digi I/O Extension Board..............................................................................................................................................41

6.4.1  Digi I/O......................................................................................................................................................................................41

6.4.1.1  Marking On-The-Fly Signals...........................................................................................................................43

6.4.2  Opto-Configuration............................................................................................................................................................44
6.4.3  Input State LEDs...................................................................................................................................................................44

6.5  E1701 Secondary Head Extension Board............................................................................................................................45

6.5.1  Scanner Signals......................................................................................................................................................................45
6.5.2  Extension Connectors........................................................................................................................................................47

2

background image

6.6  E1701dock Extension Board.....................................................................................................................................................48

6.6.1  E1701dock Connectors.....................................................................................................................................................48
6.6.2  E1701dock Wiring...............................................................................................................................................................52

6.7  E170Xbase.........................................................................................................................................................................................54

7  Quick Start into E1701A/D...................................................................................................................................................................55
8  Command Interface.................................................................................................................................................................................56

8.1  General Commands.......................................................................................................................................................................56
8.2  Stand-Alone Control Commands.............................................................................................................................................57
8.3  Hardware Commands...................................................................................................................................................................64
8.4  Mark Control Commands............................................................................................................................................................64

9  Programming Interfaces.........................................................................................................................................................................73

9.1  E1701 Easy Interface Functions...............................................................................................................................................73

9.1.1  Writing of stand-alone data.............................................................................................................................................97

9.1.1.1  Example................................................................................................................................................................101

9.1.2  Error Codes..........................................................................................................................................................................101
9.1.3  Compatibility.......................................................................................................................................................................102

9.2  RTC4 Compatibility Functions...............................................................................................................................................102
9.3  USC1/2 Compatibility Functions (SCI interface)............................................................................................................105
9.4  OLSC Compatibility Functions (Open Laser Show Controller interface).............................................................107

APPENDIX A – Wiring between E1701 and specific laser types............................................................................................108

Wiring between IPG YLP Series Type B, B1 and B2, GZTech YFPN series fiber laser.............................................108
Wiring between E1701 and JPT YDFLP series fiber laser (“MOPA”) or IPG YLP Series Type D fiber laser or 
Raycus RFL PMX/PQB Series fiber laser....................................................................................................................................109
Wiring between E1701 and IPG YLP Series Type E fiber laser.........................................................................................110
Wiring between E1701 and IPG YLP Series Type F fiber laser.........................................................................................111
Wiring between E1701 and IPG YLR Series laser..................................................................................................................112
Wiring between E1701 and SPI G4 Pulsed Fibre Laser / TRUMPF TruPulse nano series....................................113
Wiring between E1701 and Raycus fiber laser........................................................................................................................115
Wiring between E1701 and MaxPhotonics MFP fiber laser..............................................................................................116
Wiring between E1701 and DAVI D-Series RF CO

2

 Laser..................................................................................................117

Wiring between E1701 and GZTECH S355 series DPSS Laser........................................................................................118

APPENDIX B – IDC connector pin numbering...............................................................................................................................119
APPENDIX C – E1701D XY2-100 protocol description............................................................................................................120
APPENDIX D – E1701D XY3-100 protocol description............................................................................................................121
APPENDIX E – E1701D SL2-100 protocol description..............................................................................................................122
APPENDIX F – E1701D RL3-100 protocol description.............................................................................................................123
APPENDIX G – Board dimensions.......................................................................................................................................................124

3

background image

1 Copyright

This document is © by HALaser Systems.

E1701 base- and extension boards, their hardware and design are copyright / trademark / legal trademark of 
HALaser Systems.

IPG and others are copyright / trademark / legal trademark of IPG Laser GmbH / IPG Photonics Corporation.

Scanlab, RTC4, RTC5, SL2-100 and others are copyright / trademark / legal trademark of Scanlab AG.

SCAPS, USC1, USC2 and others are copyright / trademark / legal trademark of SCAPS GmbH.

Raylase, SP-ICE, RL3-100 and others are copyright / trademark / legal trademark of Raylase AG.

Rofin, Rofin-Sinar, Visual Laser Marker and others are copyright / trademark / legal trademark of Raylase AG.

Sunny, CSC-USB and others are copyright / trademark / legal trademark of Beijing Century Sunny Technology 
CO., LTD

CTI, Cambridge Technology, Novanta  and others are copyright / trademark / legal trademark of Novanta Inc.

Han’s, Han’s Laser and others are copyright / trademark / legal trademark of Han’s Laser Technology Industry 
Group Co., Ltd.

All other names / trademarks are copyright / trademark / legal trademark of their respective owners.

Portions of the E1701 firmware are based on lwIP 1.4.0 (or newer):

Copyright (c) 2001, 2002 Swedish Institute of Computer Science.
All rights reserved.
Redistribution and use in source and binary forms, with or without modification, are permitted provided that 
the following conditions are met:

1.Redistributions of source code must retain the above copyright notice, this list of conditions and the following 
disclaimer.
2.Redistributions in binary form must reproduce the above copyright notice, this list of conditions and the 
following disclaimer in the documentation and/or other materials provided with the distribution.
3.The name of the author may not be used to endorse or promote products derived from this software without 
specific prior written permission.

THIS SOFTWARE IS PROVIDED BY THE AUTHOR ``AS IS'' AND ANY EXPRESS OR IMPLIED WARRANTIES, 
INCLUDING, BUT NOT LIMITED TO, THE IMPLIED WARRANTIES OF MERCHANTABILITY AND FITNESS 
FOR A PARTICULAR PURPOSE ARE DISCLAIMED. IN NO EVENT SHALL THE AUTHOR BE LIABLE FOR ANY 
DIRECT, INDIRECT, INCIDENTAL, SPECIAL, EXEMPLARY, OR CONSEQUENTIAL DAMAGES (INCLUDING, 
BUT NOT LIMITED TO, PROCUREMENT
OF SUBSTITUTE GOODS OR SERVICES; LOSS OF USE, DATA, OR PROFITS; OR BUSINESS
INTERRUPTION) HOWEVER CAUSED AND ON ANY THEORY OF LIABILITY, WHETHER IN CONTRACT, 
STRICT LIABILITY, OR TORT (INCLUDING NEGLIGENCE OR OTHERWISE) ARISING IN ANY WAY OUT OF 
THE USE OF THIS SOFTWARE, EVEN IF ADVISED OF THE POSSIBILITY
OF SUCH DAMAGE.

Portions of the E1701 firmware are based on FatFS R0.10a (or newer):

FatFs module is an open source software to implement FAT file system to small embedded systems. This is a 
free software and is opened for education,  research and commercial developments under license policy of 
following terms.

4

background image

Copyright (C) 2014, ChaN, all right reserved.

The FatFs module is a free software and there is NO WARRANTY.

No restriction on use. You can use, modify and redistribute it for personal, non-profit or commercial product 

UNDER YOUR RESPONSIBILITY.

Redistributions of source code must retain the above copyright notice.

Portions of the E1701 firmware are based on StarterWare 2.0 (or newer):

Copyright (C) 2010 Texas Instruments Incorporated - http://www.ti.com/

Redistribution and use in source and binary forms, with or without
modification, are permitted provided that the following conditions are met:

Redistributions of source code must retain the above copyright notice, this list of conditions and the following 

disclaimer.

Redistributions in binary form must reproduce the above copyright notice, this list of conditions and the 

following disclaimer in the documentation and/or other materials provided with the distribution.

Neither the name of Texas Instruments Incorporated nor the names of its contributors may be used to endorse 

or promote products derived from this software without specific prior written permission.

THIS SOFTWARE IS PROVIDED BY THE COPYRIGHT HOLDERS AND CONTRIBUTORS "AS IS" AND ANY 
EXPRESS OR IMPLIED WARRANTIES, INCLUDING, BUT NOT LIMITED TO, THE IMPLIED WARRANTIES OF 
MERCHANTABILITY AND FITNESS FOR A PARTICULAR PURPOSE ARE DISCLAIMED. IN NO EVENT SHALL 
THE COPYRIGHT OWNER OR CONTRIBUTORS BE LIABLE FOR ANY DIRECT, INDIRECT, INCIDENTAL, 
SPECIAL, EXEMPLARY, OR CONSEQUENTIAL DAMAGES (INCLUDING, BUT NOT LIMITED TO, 
PROCUREMENT OF SUBSTITUTE GOODS OR SERVICES; LOSS OF USE, DATA, OR PROFITS; OR BUSINESS 
INTERRUPTION) HOWEVER CAUSED AND ON ANY THEORY OF LIABILITY, WHETHER IN CONTRACT, 
STRICT LIABILITY, OR TORT (INCLUDING NEGLIGENCE OR OTHERWISE) ARISING IN ANY WAY OUT OF 
THE USE OF THIS SOFTWARE, EVEN IF ADVISED OF THE POSSIBILITY OF SUCH DAMAGE.

Copyright (c) 2008-2010 Texas Instruments Incorporated. All rights reserved.

Software License Agreement

Texas Instruments (TI) is supplying this software for use solely and exclusively on TI's microcontroller products. 
The software is owned by TI and/or its suppliers, and is protected under applicable copyright laws. You may not 
combine this software with "viral" open-source software in order to form a larger program.

THIS SOFTWARE IS PROVIDED "AS IS" AND WITH ALL FAULTS. NO WARRANTIES, WHETHER EXPRESS, 
IMPLIED OR STATUTORY, INCLUDING, BUT NOT LIMITED TO, IMPLIED WARRANTIES OF 
MERCHANTABILITY AND FITNESS FOR A PARTICULAR PURPOSE APPLY TO THIS SOFTWARE. TI SHALL 
NOT, UNDER ANY CIRCUMSTANCES, BE LIABLE FOR SPECIAL, INCIDENTAL, OR CONSEQUENTIAL 
DAMAGES, FOR ANY REASON WHATSOEVER.

This is part of AM1808 Sitaraware USB Library and reused from revision 6288 of the Stellaris USB Library.

Portions of the E1701 firmware are based on libzint-backend 2.0 (or newer):

libzint - the open source barcode library, Copyright (C) 2008-2017 Robin Stuart <rstuart114@gmail.com>

Redistribution and use in source and binary forms, with or without modification, are permitted provided that 
the following conditions are met:

1. Redistributions of source code must retain the above copyright notice, this list of conditions and the 

following disclaimer.

2. Redistributions in binary form must reproduce the above copyright notice, this list of conditions and 

the following disclaimer in the documentation and/or other materials provided with the distribution.

5

background image

3. Neither the name of the project nor the names of its contributors may be used to endorse or promote 

products derived from this software without specific prior written permission.

THIS SOFTWARE IS PROVIDED BY THE COPYRIGHT HOLDERS AND CONTRIBUTORS "AS IS" AND ANY 
EXPRESS OR IMPLIED WARRANTIES, INCLUDING, BUT NOT LIMITED TO, THE IMPLIED WARRANTIES OF 
MERCHANTABILITY AND FITNESS FOR A PARTICULAR PURPOSE ARE DISCLAIMED.  IN NO EVENT SHALL 
THE COPYRIGHT OWNER OR CONTRIBUTORS BE LIABLE FOR ANY DIRECT, INDIRECT, INCIDENTAL, 
SPECIAL, EXEMPLARY, OR CONSEQUENTIAL DAMAGES (INCLUDING, BUT NOT LIMITED TO, 
PROCUREMENT OF SUBSTITUTE GOODS OR SERVICES; LOSS OF USE, DATA, OR PROFITS; OR BUSINESS 
INTERRUPTION) HOWEVER CAUSED AND ON ANY THEORY OF LIABILITY, WHETHER IN CONTRACT, 
STRICT LIABILITY, OR TORT (INCLUDING NEGLIGENCE OR OTHERWISE) ARISING IN ANY WAY OUT OF 
THE USE OF THIS SOFTWARE, EVEN IF ADVISED OF THE POSSIBILITY OF SUCH DAMAGE.

6

background image

2 History

Date

Changes in document

09/2025

Wiring/configuration description for GZTECH DPSS UV laser added

06/2024

Description of limitations of dynamic texts clarified

06/2024

Description of parameter “

iothres

” clarified

03/2024

Added parameter and command 

cswaf

01/2024

Description of E1701dock extended

11/2023

Added description of new function 

E170X_set_signal_point()

10/2023

Windows 11 Ethernet configuration description added

07/2023

Reference to header files and programming examples added

05/2023

HALdrive mounting position added to E170Xbase description

03/2023

Behaviour of Alive-LED clarified

12/2022

Command 

cdepr

 added

12/2022

Description of 

E170X_stop_execution()

 and 

cvers

 extended

12/2022

Missing description of flags 

E170X_PIXELMODE_

 added

11/2022

Added new function 

E170X_get_pos()

11/2022

New function names 

E170X_

 used in API description

10/2022

Added new stand-alone commands 

cspof

cfror

 and 

cpuor

10/2022

Electrical behaviour of digital IOs clarified

06/2022

New commands 

cslp8

cslgt

 and 

cslmo

 added

02/2022

Tune-flag added to invert input logic of ExtStart input

02/2022

Tune-flag now also can read hex-values with 0x prefix

02/2022

Added tune-flags to invert LP8 and MO outputs

12/2021

New configuration parameter 

lasergate

11/2021

Tune-flag 524288 added

10/2021

Function 

E1701_set_overspeed()

 added

10/2021

Pinout description of E1701dock extended

08/2021

New parameters 

tunereadyout

 and 

tunemarkout

 added

07/2021

Inappropriate language and naming removed (“master”, “slave”, ...)

07/2021

E1701dock pinout clarified/description extended

07/2021

Added description of 

ctlxy

 command

07/2021

Wiring of JPT/MOPA laser with pulse width serial interface clarified

07/2021

Description of CSV-support in stand-alone mode added

05/2021

E1701dock description

04/2021

New “d”-command 0x18 / delay and 0x19 / LP8 Latch added

04/2021

Description of new configuration parameter “eth=2” for Ethernet interface polling added

04/2021

Description of Ethernet configuration updated for Windows 10

03/2021

Added function 

E1701_get_serial_number()

12/2020

Added commands “

cgmtx

” and “

csmtx

12/2020

Added new stand-alone function and configuration parameters “

iolatch

” and “

iothres

09/2020

Added schematics for E1701A power supply connection

07/2020

Added descriptions for XY3-100 interfaces

01/2020

Added description of commands „

csbuf

“ and „

cgbuf

01/2020

Added new stand-alone mode „

idxselect

10/2019

Function description of 

E1701_set_standby2()

 added

10/2019

Wiring scheme for MaxPhotonics fiber laser added

10/2019

Example in description of 

pethd

-parameter corrected

07/2019

Extended description of card state flags

02/2019

Added “

pethd

” configuration parameter

12/2018

Added “

haltedloopbuffer

” configuration parameter

10/2018

Added commands 

cscor

 and 

cgcor

10/2018

Added “

haltedlooptimeout

” configuration parameter

09/2018

New tune-flag added

06/2018

Added description of flags of function 

E1701_set_xy_correction3()

7

background image

04/2018

Description of new parameters “digiinit” and “digimask” added

04/2018

Description of new tune-flags added

04/2018

Added description of command 

E1701_digi_pulse()

02/2018

New “d”-command 0x45 to download new firmware

12/2017

Added description for matrix-”d”-commands 0x40 and 0x41

10/2017

Added description for 

E1701_set_scanner_delays2()

08/2017

Added description for config parameters 

wetout

 and 

mipout

08/2017

Description for 

E1701_set_sync()

/

E1701_get_sync()

 added

07/2017

Description of USB license retrieval clarified

07/2017

TrueType-support in stand-alone mode

04/2017

Wiring scheme for IPG YLR types added

04/2017

Description of stand-alone programming via API added

04/2017

Pinout for D-SUB15 connector added

03/2017

Added new API function 

E1701_set_xy_correction3()

 and 

E1701_set_matrix2()

02/2017

Images updated

01/2017

Added wiring scheme for IPG type E lasers with APD index mode

01/2017

Added “

iohaltedloop

” stand-alone mode

12/2016

Description of 

corrtable0

 parameter corrected

11/2016

API function descriptions added and clarified

11/2016

Added “

haltedloop

” stand-alone mode

11/2016

JPT fiber laser wiring scheme added

10/2016

Added new API function 

E1701_set_xy_correction2()

10/2016

Added new API function 

E1701_set_z_correction()

09/2016

Added description of prebuffering function for ioselect stand-alone mode

08/2016

Board dimension drawings added

06/2016

Added description for second marking on-the-fly encoder input

05/2016

Added standalone commands “cmsor” and “cjsor”

02/2016

Added wiring schematics for Raycus fiber laser

01/2016

Clarified usage of 

E1701_release_trigger_point()

01/2016

Added protocol description for E1701D

12/2015

Parameter descriptions for Laser On Delay corrected

10/2015

E1701A specification added

10/2015

Firmware version 21 functions, parameters and commands added

09/2015

Firmware version 20 function descriptions added

09/2015

Error in API description/wobble function corrected

09/2015

Laser wiring description corrected

06/2015

Stand-alone description extended, 

E1701_write()

 added

04/2015

New I/O and halt- function, new tune parameters

04/2015

SPI G4 wiring schemes extended

03/2015

Description of “d”-commands for sending marking data via USB/Ethernet

02/2015

Pin-out of XY2-100 connector added, SNTP and stand-alone feature description added, ASCII-
command description added

01/2015

Specification of default states of digital outputs added

12/2014

Description for 

E1701_mark_pixelline()

 added

10/2014

Output current values added, description for Secondary Head Extension added

09/2014

Minor corrections in layout and text

09/2014

Initial version

8

background image

3 Safety

The hardware described within this document is designed to control a laser scanner system. Laser radiation 
may effect a person's health or may otherwise cause damage. Prior to installation and operation compliance 
with all relevant safety regulations including additional hardware-controlled safety measures has to be 
secured. The client shall solely be responsible to strictly comply with all applicable and relevant safety 
regulations regarding installation and operation of the system at any time.

Beside of that some laser equipment can be damaged in case it is controlled with wrong signals or signals 
outside a given specification. Thus it is highly recommended to check the output generated by this hardware 
using e.g. an oscilloscope to avoid problems caused by wrong configurations. This should be done prior to 
putting a system into operation for the first time, whenever some parameters have been changed or whenever 
any kind of software update was installed.

The hardware described here is shipped without any cover and without prefabricated equipment for electric 
installation. It is intended to be integrated in machines or other equipment. It is not a device for use "as is", but a 
component which is intended to be used as part of a larger device, e.g. for integration in a machine with own 
housing or within an electrical cabinet. Prior to operation compliance with all relevant electric / 
electromagnetic safety regulations including additional hardware-controlled safety measures has to be 
secured. The client shall solely be responsible to strictly comply with all applicable and relevant regulations 
regarding installation and operation of the system at any time.

The hardware described here is an electrostatic sensitive device. This means it can be damaged by common 
static charges which build up on people, tools and other non-conductors or semiconductors. To avoid such a 
damage, it has to be handled with care and including all relevant procedures (like proper grounding of people 
handling the hardware, shielding/covering to not to let a person touch the hardware unwanted, proper 
packaging in ESD-bags, ...). For more information please refer to related regulations and standards regarding 
handling of ESD devices. The EMC Directive (2014/30/EU) does not apply to this hardware as it is not intended 
for an end user (a person without knowledge of EMC) and as it is not otherwise made available on the market.

The Low Voltage Directive (2014/35/EU) does not apply to this hardware as the voltage supply is below the 
50V AC / 75V DC limit.

This control board is considered partly completed machinery in accordance with the EU Machinery Directive 
(2006/42/EC). It cannot operate independently and is intended to be integrated into a larger machine or 
system. The final integrator is responsible for ensuring that the complete machine or system complies with all 
applicable safety and regulatory requirements in the intended market (such as CE- certification).

This document describes the E1701-hardware but may contain errors or may be changed without further 
notice.

9

background image

4 Overview

This document describes the E1701 modular scanner controller board family, their electrical characteristics 
and usage. They consist of E1701D XY2-100/XY3-100 scanner controller baseboard plus optional extension 
boards and of E1701A analogue scanner controller baseboard plus optional extension boards. Special variant 
E1701M is no scanner controller and therefore not covered by this document.

The E1701 scanner controller boards are designed for controlling galvanometric scanner systems with two or 
three axes. Depending on the used extension boards (which are optional) they also supply extensive signals for 
laser and external control. The communication between the host system and the controller boards is done via 
Ethernet or USB.

When using E1701 scanner controller boards, there is always one baseboard required for proper operation. 
This baseboard can be used together with different extension boards that provide additional signals for 
controlling the laser marking process. These extension boards are optional and have to be used only in 
environments where the additional signals processed by these boards are required. So depending on used type 
of laser and requirements, the minimal solution to control a laser marking system may consist of the baseboard 
only.
Normally extension boards can be combined with any baseboard and all other extension boards freely, there 
are no restrictions for usage. In case some specific extension board types can’t be operated with other boards, 
this is stated in description of the related boards below.
Normally an E1701 baseboard can be combined with several extension boards of different types but not with 
more than one board of same type. In case of special extension boards where more than one board of the same 
type can be used, this is stated in description of the related board below.

4.1 Features

Following the features of available base- and extension boards are described

4.1.1 E1701D XY2-100/XY3-100 Digital Laser Scanner Controller Baseboard

This baseboard can be used to control 2D or 3D scanheads that come with a XY2-100, XY2-100-E or XY3-100 
interface. It can be combined with extension boards without any restrictions. E1701D offers following features:

XY2-100 interface to scanhead with X, Y and Z channel

XY2-100-E interface to scanhead with X and Y channel

XY3-100-E interface to scanhead with X and Y channel

100 Mbit Ethernet connection

USB 2.0 connection

online XYZ grid correction with support for several correction table file formats (like SCAPS™ .ucf, 
Scanlab™ .ctb and .ct5, Raylase™ .gcd, Rofin™ .fcr, Han’s™ .crt, CTI™ .xml or Sunny™ .txt)

high-definition online XYZ grid correction with BeamConstruct HD correction files (.bco)

fast switching between up to 16 preloaded grid correction tables

10 microseconds vector cycle time and resolution (microstep period)

command execution time down to 0,5 microseconds

realtime processing of laser and scanner signals

26 bit internal resolution (for better quality also with 16 or 18 bit hardware output)

can control nearly every laser type (this may require extension boards as described below)

two laser CMOS digital outputs for usage with YAG, CO2, IPG(tm) and compatible laser types (outputs 
can provide PWM frequency, Q-Switch, FPK-pulse, CW/continuously running frequency, stand-by 
frequency) running with frequencies of up to 20 MHz

512 MByte DDR3 RAM

1 GHz CPU clock

support for microSD and microSDHC cards

internal command and vector data list with more than 17 million entries

continuous list concept, no need to swap between buffers

BeamConstruct PRO license included

10

background image

open source compatibility library that emulates existing programming interface for fast and easy usage 
with existing software (contains e.g. Scanlab(tm) RTC4(tm), SCAPS(tm) USC(TM)/SCI and other 
compatible interfaces)

4.1.2 E1701A Analogue Laser Scanner Controller Baseboard

This baseboard can be used to control 2D scanheads that come with an analogue control interface. It can be 
combined with all extension boards except Secondary Head Extension. E1701A offers following features:

+-5V / +-10V bit analogue interface with 16 bit resolution each to control scanheads with X and Y 
channel

3x +5V analogue output with 12 bit resolution each

100 Mbit Ethernet connection

USB 2.0 connection

online XY grid correction with support for several correction table file formats (like SCAPS™ .ucf, 
Scanlab™ .ctb and .ct5, Raylase™ .gcd, Rofin™ .fcr, Han’s™ .crt, CTI™ .xml or Sunny™ .txt)

high-definition online XY grid correction with BeamConstruct HD correction files (.bco)

fast switching between up to 16 preloaded grid correction tables

10 microseconds vector cycle time and resolution (microstep period)

command execution time down to 0,5 microseconds

realtime processing of laser and scanner signals

26 bit internal resolution (for better quality also with 16 bit hardware output)

can control nearly every laser type (this may require extension boards as described below)

512 MByte DDR3 RAM

1 GHz CPU clock

support for microSD and microSDHC cards

internal command and vector data list with more than 17 million entries

continuous list concept, no need to swap between buffers

BeamConstruct PRO license included

open source compatibility library that emulates existing programming interface for fast and easy usage 
with existing software (contains e.g. Scanlab(tm) RTC4(tm), SCAPS(tm) USC(TM)/SCI and other 
compatible interfaces)

4.1.3 E1701 LP8 Extension Board

This board can be used to provide signals for controlling a wide range of laser types. It offers following features:

LP8 8 bit CMOS level parallel digital output e.g. for controlling laser power

LP8 latch CMOS level digital output for usage with IPG(tm) and compatible laser types

Main Oscillator CMOS level digital output for usage with IPG(tm) and compatible laser types

8 bit 0..5V analogue output e.g. for controlling laser power (this output depends on LP8 outputs 
directly)

two laser CMOS level digital outputs for usage with YAG, CO2, IPG(tm), SPI(tm) and compatible laser 
types (outputs can provide PWM frequency, Q-Switch, FPK-pulse, CW/continuously running 
frequency, stand-by frequency) running with frequencies of up to 20 MHz

4.1.4 E1701 Digi I/O Extension Board

This board provides additional digital in- and outputs for synchronisation and communication with external 
equipment. It offers following features:

8 freely usable digital outputs providing either CMOS level or electrically insulated outputs via 
external power supply

8 freely usable digital inputs expecting either CMOS level or electrically insulated inputs via external 
power supply

2 digital inputs usable for quadrature encoder signals for marking on-the-fly applications

11

background image

4.1.5 E1701 Secondary Head Extension Board

Using boards of this type additional heads can be connected which then work in parallel to the first scanhead of 
E1701D baseboard. As output-only device it provides an additional XY2-100 or XY3-100 connection. This 
extension can't be used with E1701A baseboard.

12

background image

5 Position Within The System

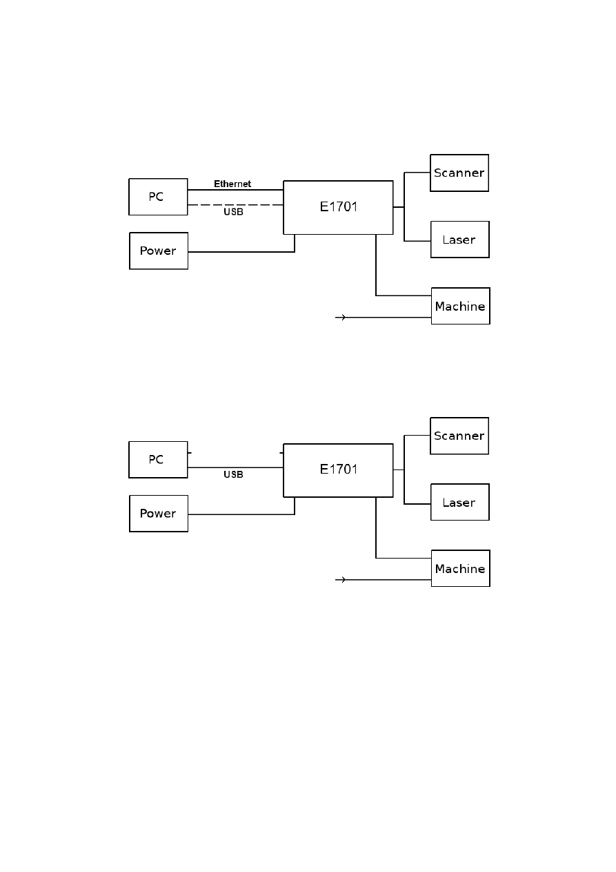
The E1701 scanner controller system can be connected to the host via Ethernet or USB to receive laser 
marking data from BeamConstruct laser marking application or from any other application which makes use of 
one of the provided programming possibilties (as described below). When using Ethernet connection, it 
optionally can be connected via USB too. In this case USB connection is used to retrieve BeamConstruct PRO 
license from the board:

Since 100 Mbit Ethernet provides much faster data transfer than USB 2.0, this connection type is preferred. 
Especially in case complex marking data with many short lines that result in many separate jump and mark 
commands are used, Ethernet connection is more responsive.
When using USB connection with such data, time from sending data to the card until marking operation can be 
started may be longer (up to several seconds in worst case) caused by slower USB data transfer:

In both cases the board itself is connected with the scanhead to submit 2D or 3D position information to it. 
Beside of that it is connected to a laser to submit motion-synchronous laser data. Additional communication 
channels between the E1701 scanner controller board and a connected machine can be done via separate IOs 
of an extension board.

13

background image

6 Boards And Connectors

6.1 E1701D XY2-100/XY3-100 Digital Laser Scanner Controller Baseboard

The E1701D Digital Laser Scanner Controller Baseboard provides following connectors and interfaces:

1. Ethernet – for communication with the host system, marking information are submitted via this path
2. USB – via miniUSB connector for providing BeamConstruct PRO license to host system and optionally 

for submitting marking data from host to E1701D card (in case Ethernet is not used)

3. Power – connect with power jack 5V DC
4. Power LED – lights when power is available
5. User LEDs – show operational and error states of card
6. Laser LED – shows modulation state of laser
7. Reset-button – on-board button to restart the board completely
8. microSD-card (on bottom side) – storage place for firmware and extended configuration file, can be 

used to upgrade firmware, to change the card's IP and other things more

9. Laser/Scanner signals – white 26 pin laser and scanner output connector which provides XY2-100 / 

XY2-100-E scanner signals as well as laser and marking control IOs

10. Extension connectors – extension boards can be placed here in order to add some more functionality 

and hardware interfaces to the board

6.1.1 Ethernet

This is a standard RJ45 Ethernet plug for connection of the board with the host system. The controller board is 
accessed via this connection, all scanner and laser data are sent via Ethernet. Thus it is recommended for 
security reasons to have a separate 1:1 connection from the host to the scanner controller card by using a 
separate Ethernet port. In case this is not possible at least an own, physically separated sub-net for all scanner 
controller cards should be set up. This network of course should be separated from normal network completely.
Ethernet connection is initialised during start-up, thus Ethernet cable connecting E1701 board and host system 
needs to be plugged before the board is powered up.
By default the E1701 baseboard is using IP 192.168.2.254, thus the Ethernet network the card is connected 
with needs to belong to subnet 192.168.2.0/24.
PLEASE NOTE: For security reasons it is highly recommended to not to mix a standard communication network 
with an E1701 network or to connect the scanner controller card with a standard network. Here it may be 
possible someone else in that network (accidentally) connects to that scanner controller and causes laser 
emission.
The IP of the scanner controller can be changed. This is necessary e.g. in case an other subnet has to be used or 
in case the E1701 board has to be operated in multi-head environments where more than one card will be 
accessed at the same time. The IP can be configured using e1701.cfg configuration file that is placed on 
microSD-card. To change the IP please perform the following steps:

1. disconnect E1701 board from power and USB

14

background image

2. remove microSD-card
3. put microSD-card into a desktop computer, this may require a microSD- to SD-card-adapter
4. open the drive that is assigned to the card
5. open file e1701.cfg using a text editor like Notepad or kwrite
6. add a line or edit an existing line "

ip1=

", here the desired IP has to be appended (as example: when you 

want to configure IP 192.168.2.13 the line has to be "

ip1=192.168.2.13

" – without any quotation 

signs

7. save the file
8. eject the drive the card is assigned to
9. place the microSD-card in E1701 board (place without the use of force, notice correct orientation with 

connectors of microSD-card to bottom!)

10. power up card

When User LEDs do not light up as described below, please check if microSD-card is placed in board correctly.

6.1.1.1 Ethernet Configuration With Windows 10

When E1701 scanner controller is accessed via Ethernet, it is recommended to have a 1:1 connection to the 
host PC for security reasons. Since the controller is working with a static IP (default is 192.168.2.254) the 
Ethernet port on host PC has to be configured with an IP of same subnet in order to allow access to it. For 
Windows 10 (and similar) this configuration has to be done using following steps:

1. right-click the network-symbol in your taskbar
2. Select “Open network and internet settings”
3. Select “Ethernet” on the left
4. find the network interface E1701D has to be connected with and select it
5. Click the “Edit” button in section “IP settings”
6. now a window opens where “IPv4” has to be turned on and that has to be configured as follows:

There you can specify an IP for your host PC. It has to belong to network 192.168.2.xxx and can be any 
number except than 192.168.2.254 (this is already the IP of the scanner card), 192.168.2.0 or 
192.168.2.255.

6.1.1.2 Ethernet Configuration With Windows 11

When E1701 scanner controller is accessed via Ethernet, it is recommended to have a 1:1 connection to the 
host PC for security reasons. Since the controller is working with a static IP (default is 192.168.2.254) the 

15

background image

Ethernet port on host PC has to be configured with an IP of same subnet in order to allow access to it. For 
Windows 10 (and similar) this configuration has to be done using following steps:

7. right-click the network-symbol in your taskbar
8. Select “Network and internet settings”
9. Select “Ethernet” in the opened list
10. find the network interface E1701D has to be connected with and select it
11. Click the “Edit” button right beside “IP assignment”
12. now a window opens where “Edit IP Settings” has to be switched from “Automatic (DHCP)” to “Manual” 
13. next “IPv4” has to be turned on and the remaining parameters in this window have to be configured as 

follows:

There you can specify an IP for your host PC. It has to belong to network 192.168.2.xxx and can be any 
number except than 192.168.2.254 (this is already the IP of the scanner card), 192.168.2.0 or 
192.168.2.255.

6.1.1.3 Ethernet Configuration With Linux

When E1701D scanner controller is accessed via Ethernet, it is recommended to have a 1:1 connection to the 
host PC for security reasons. Since the controller is working with a static IP (default is 192.168.2.254) the 
Ethernet port on host PC has to be configured with an IP of same subnet in order to allow access to it. For Linux 
(with NetworkManager) this configuration has to be done using following steps:

1. right-click the network-symbol in taskbar
2. click "Edit Connections..."
3. select the "Wired" network interface the scanner card is connected with and press button "Edit"

16

background image

4. go to tab-pane "IPv4 Settings" and configure it as shown below:

There you can specify an IP for your host PC. It has to belong to network 192.168.2.xxx and can be any 
number except than 192.168.2.254 (this is already the IP of the scanner card), 192.168.2.0 or 
192.168.2.255.

6.1.2 USB

This is a standard miniUSB-connector for connection of the board with the host system. It is used to retrieve 
BeamConstruct PRO license and optionally – when Ethernet is not connected – to send marking data to the 
card.
PLEASE NOTE: USB 2.0 is much slower than a standard 100 Mbit Ethernet connection, so expect slower 
execution in case of complex marking data!
Required device driver is installed together with installation of the HALsetup software package (Windows) or 
comes with operating system by default (Linux). E1701 card appears as COM-interface on Windows using any 
free number for the port. With Linux it appears as /dev/ttyACMx where "x" is any number. These numbers are 
provided by the operating system automatically.
By default USB provides 5V power supply too. So whenever card has to be stopped, both USB and power have 
to be disconnected in order to shut it down completely. It is not recommended to use USB as power supply, an 
additional, external power should be connected in order to operate E1701 controller correctly. Nevertheless it 
might be possible E1701 card can be operated on USB power only. Since this highly depends on the capabilities 
of used host system, it has to be evaluated for every particular case.

When the controller is connected via USB, a BeamConstruct PRO license is provided via this interface 
automatically. This is done without the need to configure anything, and as long as following conditions are true:

physical USB connection from controller to host PC exists

the COM-port (Windows) has a number smaller than COM20

the controller is working and the Alive-LED in blinking

It is also possible to have the USB-connection for license retrieval only and to use the Ethernet-connection to 
transfer marking data to the controller, both can exist beside each other.

6.1.3 Power

Power supply for E1701 scanner controller board is done via power jack right beside Ethernet port. Power can 
be supplied via a 2.1 mm x 5.5 mm centre connector when connected to a positive power supply rated at 5V DC 

17

background image

+/- 0.1V and 2.5A (smoothed, positive pole on inner contact). Do not apply voltages in excess of 5V to the DC 
input. The DC power supply must be grounded.
To avoid high frequency interferences from other electrical equipment or from within the power supply, it is 
recommended to place a ferrite bead at the cable close to the board. Please also check for correct shielding in 
respect to the equipment the E1701 card is used within.

6.1.4 Power LED

This LED is lit as soon as the board is on some power. This means it may be functional and could emit any signals 
as soon as this LED is on but it does not necessarily need to work properly since firmware may not be started at 
this point. Please refer section below for LEDs that show functional state of the board.

6.1.5 User LEDs

The real operational state of the card is shown by four additional LEDs described here from inner to outer 
position:

1. Boot- and Alive-LED – this LED is turned on permanently as soon as the card was powered up and the 

firmware boots properly. When it is not turned on after some seconds please check if the microSD-card 
is placed properly and if it contains a working firmware file (for details please refer below). After boot 
process has completed successfully, it starts blinking slowly. This is an alive-notification, as long as it 
blinks, the board is working and ready for operation. During marking operations the blink frequency 
may go down. Only in case it does not blink for more than 20 seconds, the board has died for some 
reason and should be restarted.
Please note: during start-up and when the configuration parameter “eth=2” is set in e1701.cfg, the 
blinking frequency can be much slower. This is the case as long as the controller tries to detect an 
Ethernet connection. It ends and switches to faster blink frequency as soon as this detection is timed-
out or as soon as a connection via Ethernet or USB is established.

2. Marking Active LED – this LED is turned on as long as a marking operation is running. This LED does 

not correspond to the laser gate signal, comparing to it it’s also enabled during jumps when laser is 
turned off but marking operation itself is active.

3. Stop LED – this LED is lit as long as a valid external stop signal is detected.
4. Error-LED – this LED is turned on in case a fatal error occurs that normally should never happen. When 

it is on, in most cases board can't continue with operation until the reason for error is removed and the 
board is restarted. In case this LED is turned on please:
- check if you are using exactly one baseboard
- check if you are using E1701 extension boards only (and no other 3rd party hardware)
- check if you are using latest firmware and host software
- check all connections and cables
- undo your latest changes in hardware and configuration

If these steps do not help, please contact HALaser Systems for further assistance.

18

background image

6.1.6 Laser LED

This LED shows modulation state of the laser and signal of laser gate output. It is turned on as long as the laser 
is turned on and the laser gate is high. This LED does NOT signal the same like the marking active LED described 
above since it will be turned off during jumps.

6.1.7 Reset-Button

When this button is pressed for at least 20 milliseconds, it restarts the card completely, a current marking 
operation is cancelled, all signals are disabled and all remaining marking data are dropped. After releasing this 
button, the board is rebooted and firmware is started again.

6.1.8 microSD-Card

The microSD card is storage place for firmware and configuration files. Here SD and SDHC cards with storage 
space of up to 32 GB are supported.
To remove the microSD-card, first disconnect all power from the E1701 board completely (including USB, 
Power LED has to go off). Next press microSD card gently into the board until you can hear a click-noise. Then 
you can pull it out of the board. To place a microSD card, the same has to be done in reverse order: place it into 
the E1701 board’s card slot and press it gently until a noise signals locking of the card. Now the board can be 
powered.
E1701 baseboard is shipped with a card containing firmware and configuration files:

E1701.fwi - firmware file that is used to operate the board, to be replaced when a firmware update is 
provided

E1701.cfg - configuration text file, can be edited using a text editor in order to modify cards 
configuration

E1701.dat – additional data file that is used to operate the board, to be replaced when a firmware 
update is provided

To use an other microSD card than the one shipped with the board, following conditions have to be met:

maximum total size of 32 GB (SD or SDHC card)

FAT32 formatted

using only one partition

BOOT-flag is set

E1701.fwi and e1701.dat file available on card

An additional file E1701.cfg can be placed on the card too. It contains plain ASCII text, acts as configuration file 
and can contain several parameters and its values which are separated by an equal-sign. Every of the possible 
parameter/value pairs has to be located in an own line. Following configuration parameters are possible within 
this file:

Parameter

Description

Example

ip1

Configures IP of Ethernet port. Here only IPs in xxx.xxx.xxx.xxx 
notation are allowed but no host or domain names.

ip1=192.168.2.100

specifies IP 192.168.2.100 
to be used for Ethernet 
interface on next startup

corrtable0

Specifies a correction table file in .ctb, .ct5, .ucf, .gcd, .xml, .crt, .txt 
or .bco format to be loaded on start-up. When this parameter is 
set, the specified correction table is used exclusively and all 
correction data possibly sent from the host are ignored. The 
correction file itself has to be located on microSD-card too.
This method has also to be used when running the controller in 
stand-alone mode with .EPR files that require such a correction.
When the Error-LED is turned on after a correction table file was 
configured, E1701 baseboard was not able to load it for some 
reason.

corrtable0=0:/

D2_200.ctb

use file D2_200.ctb as 
correction file and ignore 
all correction tables 
possibly sent from host 
application

corrtable<i
dx>

Specifies one of up to 16 correction table file 
in .ctb, .ct5, .ucf, .gcd, .xml, .crt, .txt or .bco format to be loaded on 
start-up. When this parameter is set, the specified correction 

corrtable7=0:/200_2

00.bco

use file 200_200.bco as 

19

background image

Parameter

Description

Example

table is used exclusively and all correction data possibly sent 
from the host are ignored. The correction file itself has to be 
located on microSD-card too.
This method has also to be used when running the controller in 
stand-alone mode with .EPR files that require such a correction.
When the Error-LED is turned on after a correction table file was 
configured, E1701 baseboard was not able to load it for some 
reason.

<idx>

 can be any value in range 0..15 and specifies the storage 

location index of the correction file to be loaded. Later the 
related correction file can be used via command 

cscor

.

When 

<idx>

 has to be set to values greater than 0, a firmware 

version 33 or newer is needed.

correction file at index 
position 7 and ignore all 
correction tables possibly 
sent from host application

passwd

Specifies an access password that is checked when card is 
controlled via Ethernet connection. This password corresponds 
to password specified with function 

E170X_set_password()

please refer below for a detailed description.
When a client computer connects to the card without sending 
the correct password, Ethernet connection to this host is closed 
immediately.
PLEASE NOTE: this password does not replace any network 
security mechanisms and does not give the possibility to operate 
E1701 controller via insecure networks or Internet! It is 
transferred unencrypted and therefore can be "hacked" easily. 
Intention of this password is to avoid collisions between several 
E1701 cards that operate in same network and are accessed by 
several software instances.
Maximum allowed length of the password is 48 characters. It is 
recommended to not to use any language-specific characters.

passwd=myCardPwd

set a password 
"myCardPwd"

standalone

This command can be used to disable or enable a specific stand-
alone operation mode. For a detailed description of possible 
parameters, operation modes and usage please refer related 
section below.

iolatch

When using one of the digital-input-controlled stand-alone 
modes, this option can be used to latch the digital states in via 
DIn7. For details please refer to section “6.1.11 Stand-Alone 
Operation” below

iolatch=1

enable the latch-function 

via DIn7

iothres

In stand-alone mode there are two conditions that cause a 
loaded EPR file to be ready: it is fully loaded into the secondary, 
marking buffer or a minimum amount of data is available in 
secondary buffer.
Something similar is true for host-controlled operating mode: 
here marking starts when 

E170X_execute()

 is called or when 

a minimum amount of data has been transmitted to the 
controller.
That minimum amount of marking data can be modified with the 
parameter “iothres”. The smaller this value is, the faster marking 
will start, but in this case it also may happen there are not 
enough data available so that interruptions occur during 
marking. So a balance between speed and a secure, non-
interrupted marking process need to be found when this value is 
modified.
By default “iothres” is 80000 which should fit to most 
applications, the maximum allowed value is 280000 and it should 
not become smaller than 10000

iothres=120000

Set the threshold for 

availability of the stand-

alone marking data to 

120000

20

background image

Parameter

Description

Example

haltedloopt
imeout

This parameter is used in stand-alone modes “haltedloop” and 
“iohaltedloop” (please refer to section “6.1.11 Stand-Alone 
Operation” for detailed information). It defi
nes a timeout for the 
laser in unit seconds. If the current operation is active for a 
longer time, the laser is turned off. It then can be turned on only 
by toggling the enable-input (ExtStart) again.
This parameter requires firmware version 35 or newer.

haltedlooptimeout=5

sets the laser timeout to 5 

seconds

haltedloop
buffer

This parameter is used in stand-alone modes “haltedloop” and 
“iohaltedloop” (please refer to section “6.1.11 Stand-Alone 

Operation” for detailed information). It defines a maximum 
buffer size for the marking data. The buffer size should have a 
size of 17000000 at max. The minimum size depends on the 
specific application, in fact, when it is set to some too small 
values, drop-outs in marking operation may occur.
Data which are already buffered in this marking mode can't be 
modified any longer. So any change on marking speed, power or 
similar (done e.g. by commands “

cjsor

”, “

cmsor

” or “

cpwor

”) 

will apply only to data which are not yet buffered. And as bigger 
as this buffer is, as longer it takes until the first new data after 
change of any of these parameters can be emitted.
This parameter requires firmware version 33 or newer.

haltedloopbuffer=10

0000

set the buffer to a 

maximum size of 100000 

commands which is similar 

to data for about 1 second 

marking time

autofile

Loads a special .EPR stand-alone file from SD-card in some 
specific stand-alone modes. For a detailed description of possible 

parameters, operation modes and usage please refer related 
section below.

autofile=0:/
markdata.epr

loads a file markdata.epr 

from disk; here 0:/ specifies 

the SD-card to be used. 

The .EPR-file itself can be 

generated within 

BeamConstruct out of a 

normal .BEAMP project 

file.

iobuff

Pre-loads one or more .EPR files to the RAM of the controller to 
allow faster switching in “ioselect” or “idxselect” stand-alone 
mode. This command can not be used to load file “0.EPR”

iobuff=1
iobuff=3

pre-load files 1.EPR and 

3.EPR on board start-up

mipout

Configure a Digi I/O output pin to be used as “mark in progress”-
signal by default; here an output bit number in range 0..7 has to 
be configured which will be set to HIGH as long as a marking 
operation is in progress, the value given here can be overwritten 
by API-function 

E170X_digi_set_mip_output()

;

this parameter requires firmware version 30 or newer

mipout=1

use DOut1 for mark-in-

progress signal

wetout

Configure a Digi I/O output pin to be used as “wait for external 
trigger”-signal by default; here an output bit number in range 0..7 
has to be configured which will be set to HIGH as long as a 
marking operation is in progress and the controller is waiting for 
an external trigger signal to arrive at ExtStart input, the value 
given here can be overwritten by API-function 

E170X_digi_set_wet_output()

;

this parameter requires firmware version 30 or newer

wetout=0

use DOut0 for mark-in-

progress signal

digiinit

Initialises the digital outputs on firmware start-up with the given 
defaults. This overrides the hardware defaults. The default 
digital values set here are NOT available on power up but a few 

seconds later after firmware has been loaded and started.
This function requires firmware version 32 or newer.

digiinit=2

set DOut1 to HIGH initially 

and all other outputs to 

LOW

21

background image

Parameter

Description

Example

digimask

Masks the digital inputs and specifies which inputs can be read. 
All input bits which are ignored by this command by setting the 
related value to 0, are no longer read. This may be useful for 
applications where encoder inputs are used together with a 
IOSelect stand-alone operation and where the random state of 
the encoder has to be masked out.
This function requires firmware version 32 or newer.

digimask=253

use only DIn2..DIn7 as 

input and ignore DIn0 and 

DIn1

digidebc

Sets a debouncing time / filter time for the digital inputs of the 
Digi IO extension board in order to not to let the inputs react on 

noise or bouncing of mechanical inputs. The debouncing value is 
given in time-units where every time-unit is equal to 31 usec. By 
default 7 time-units are set.

digidebc=10

set the debounce-time to 

310 usec

lasergate

By default, the laser on/off information is provided via the 
LaserGate output and with CMOS logic voltage level. With this 
parameter, a digital output of the Digi I/O extension board can be 
specified, to provide the laser gate signal in parallel.
Please refer to “6.4 E1701 Digi I/O Extension Board” for further 
details about the digital interface.
This configuration parameter requires firmware version 41 or 
newer

lasergate=3

Use DOut3 to provide the 

laser gate signal

tunereadyo
ut

In stand-alone modes, the ready-state of a loaded stand-alone 
project is signalled via DOut0 by default (please refer to section 
6.1.11.3 Stand-Alone Control” for further details). Using this 
parameter, the used output can be changed. Here following 
values can be given:

0 – DOut0 (default)

1 – LaserA (has to be configured as GPO via the related 
tune-flag)

2 – LaserB (has to be configured as GPO via the related 
tune-flag)

This parameter requires firmware version 13 or newer.

tunereadyout=1

use LaserA to signal state 

“ready” in stand-alone 

mode

tunemarko
ut

In stand-alone modes, the ready-state of a loaded stand-alone 
project is signalled via DOut1 by default (please refer to section 
6.1.11.3 Stand-Alone Control” for further details). Using this 
parameter, the used output can be changed. Here following 
values can be given:

0 – DOut1 (default)

1 – LaserA (has to be configured as GPO via the related 
tune-flag)

2 – LaserB (has to be configured as GPO via the related 
tune-flag)

This parameter requires firmware version 13 or newer.

tunemarkout=2

use LaserB to signal state 

“ready” in stand-alone 

mode

tune

Enables special functions and features that are not activated by 
default. As parameter a number can be handed over that 
specifies the functions to be enabled. Starting with firmware 
version 41 the number can also be specified as hexadecimal 
value when it is prefixed with “0x”. Following numbers can be 
concatenated by adding them:
1 (0x01) – use DIn7 of Digi I/O Extension Board as external 
trigger, this disables ExtStart input of E1701 Baseboard and LP8 
Extension Board

2 (0x02) – use additional marking encoder inputs on DIn2 and 
DIn3 for 2D on-the-fly operations (requires firmware version 25 
or newer)

4 (0x04) – enable storage of serial number count values to 
microSD card; this option is useful in case of stand-alone 
operation mode when dynamic data with serial number counting 

tune=1

disables ExtStart input and 

switches over external 

trigger function to DIn7 

input

tune=0x1000

force the acanner output 

to use XY2-100E mode

22

background image

Parameter

Description

Example

is used. When it is set, the current count value of all used serial 
numbers is stored and reloaded on next power up. Thus their 
values are not get lost when power was turned off. The values 
are stored in a file with the same name like the "autofile" or the 
currently loaded .epr file but with extension ".ser".
ATTENTION: The file is saved on the FatFS formatted microSD 
card. FatFS is NOT fault-proof, means it can be corrupted when 
power is turned off during writing. So when this option is 
enabled, user has to ensure power is NOT turned of while the 

card writes to disk. Writing of serial number states is always 
done in case they have changed, then it is started when state 
LED of E1701D board is switched off. Write operation is finished 
when this LED is turned back on the next time. So to ensure data 
are written successfully, it is recommended to let this LED blink 
two times after last mark operation has been finished. In 
automated environment this can be ensured by following 
procedure:

1. stop all marking operations
2. ensure no new marking operation is triggered
3. wait for 2 seconds
4. turn power off

ATTENTION: due to this limitation it is not recommended to 
work with this option but to save the state of the serial numbers 
by sending ASCII command "

cssta

" instead (please refer below 

for details)!
This value requires firmware version 12 or later.

8 (0x08) – invert LaserGate output to work as active HIGH 
signal; when this option is set, logic of LaserGate-LED changes 
too, it is on as long as laser is turned off and it is off as long as 
laser is on (requires firmware version 16 or newer)

16 (0x10) – invert LaserA output to work as active HIGH signal 
(requires firmware version 16 or newer)

32 (0x20) – invert LaserB output to work as active HIGH signal 
(requires firmware version 16 or newer)

64 (0x40) – use LaserA output as GPO (general purpose output 
pin); when this flag is set, LaserA output is no longer able to emit 
a frequency but can be used as digital output pin; when this value 
is set, a tune-value of 16 (invert LaserA) is ignored. This flag has 
to be set e.g. when LaserA has to be used together with 

tunereadyout

 or 

tunemarkout

 parameter.

128 (0x80) – use LaserB output as GPO (general purpose output 
pin); when this flag is set, LaserB output is no longer able to emit 
a FPK pulse but can be used as digital output pin; when this value 
is set, a tune-value of 32 (invert LaserB) is ignored. This flag has 
to be set e.g. when LaserA has to be used together with 

tunereadyout

 or 

tunemarkout

 parameter.

4096 (0x1000) – operate in enhanced XY2-100 18 bit mode; 
when this value is added to the tune-parameter, the controller 
outputs more accurate 18 bit position data instead of the 
standard 16 bit values in normal operation mode (requires 
firmware version 24 or newer)

8192 (0x2000) – operate in XY3-100 mode; when this value is 

23

background image

Parameter

Description

Example

added to the tune-parameter, the controller outputs more 
accurate position data instead of the standard 16 or 18 bit values 
in normal operation mode (requires firmware version 39 or 
newer)

32768 (0x8000) – invert the mark-in-progress signal (requires 
firmware version 32 or newer)

65536 (0x10000) – invert the wait-external-trigger signal 

(requires firmware version 32 or newer)

524288 (0x80000) – inverts the logic of the ExtStop input; by 
default, the stop-input is LOW and has to be set to HIGH in order 
to stop a running operation. When this flag is set, this is inverted, 
ExtStop has to kept HIGH for normal operation and a stop is 
performed as soon as it goes to LOW.
This flag requires firmware version 41 or newer.

2097152 (0x2000000) – halt the current marking operation 
when ExtStart input is at LOW; with this tune-flag set, the 
ExtStart input not only reacts on the rising edge to mark when 
waiting for an external trigger, it also requires to be HIGH in 
order to continue marking. So ExtStart acts as some kind of 
“enable” input.
This flag requires firmware version 41 or newer.

4194304 (0x400000) – invert the LP8 signal of LP8 Extension 
(requires firmware version 41 or newer)

8388608 (0x800000) – invert the MO (main oscillator) signal  of 
LP8 Extension (requires firmware version 41 or newer)

16777216  (0x1000000) – inverts the logic of the ExtStart input. 
By default, the start-input reacts on a rising edge. When this flag 
is set, this is inverted and a falling edge is expected to release an 
external trigger. This also has an effect on the behaviour of tune-
flag 0x2000000, it is inverted too.
This flag requires firmware version 41 or newer.

sntp1

Allows to specify the IP of an SNTP time server. This option can 
be used in case of Ethernet usage to synchronise controller with 
an external time source. E1701D tries to connect to this server 
after initialisation of Ethernet interface and – if not successful – 
a few more times. These additional connection attempts are 
done whenever the state-LED is switched on.
ATTENTION: when this function has to be used, the network or 
host-computer the controller is connected with needs to be able 
to route this request. This is a potentially dangerous operation 
because a connection between encapsulated machine network 
and open and dangerous Internet has to be established. Since 
this is NOT RECOMMENDED in general, this option should be 
used ONLY when it is 100% sure there is no possibility for people 
from outside to intrude the machine network! Instead of that it is 
recommended to set system time manually using host-computer 
and ASCII command "cstime" (please refer below). Alternatively 
it is also possible to contact an own, network-internal NTP-
server.
When this option is used, the gateway and netmask have to be 
configured for the controllers Ethernet interface
This parameter requires firmware version 12 or later.

sntp1=83.170.1.42

 – 

IP of time server at 

3.de.pool.ntp.org is used 

for SNTP time retrieval 

(not recommended since 

this requires a connection 

to potentially dangerous 

Internet!)

24

background image

Parameter

Description

Example

sntp1offset This value corresponds to sntp1 parameter above, it is used 

when system time is retrieved from an external time server to 
set an offset to the time returned from this server. The offset has 
to be specified in unit seconds.
This parameter requires firmware version 12 or later.

sntp1offset=-3600

 – 

specifies an offset of minus 

one hour to the time 

returned from timeserver. 

So when the time server 

would return a current 

time of 11:42:17, the 

system time of the 

controller would be set to 

10:42:17 with this value

gw1

Specifies a gateway-address for the scanner controllers Ethernet 
interface. This option belongs to parameter "ip1" and has to be 
set in case "sntp1" is used.
This parameter requires firmware version 12 or later.

gw1=192.168.2.1

 – use 

192.168.2.1 as gateway

nm1

Specifies the netmask for the scanner controllers Ethernet 
interface. This option belongs to parameter "ip1" and has to be 
set in case "sntp1" is used.
This parameter requires firmware version 12 or later.

nm1=255.255.255.0

 – 

use upper 24 bits of 

current IP for netmask

node0

Specifies the IP of an external HALnode Compact Ethernet IO 
module to be used for additional 8 digital in- and outputs (lower 
8 bits of an additional 16-bit IO port). Once configured, the 
HALnode’s digital ports are used as they were a part of the 
controller. This functionality requires firmware version 46 or 

newer.

node0=192.168.1.253 

– use the digital IOs of the 

HALnode at the IP 

192.168.2.253

node1

Specifies the IP of an external HALnode Compact Ethernet IO 
module to be used for additional 8 digital in- and outputs (upper 
8 bits of an additional 16-bit IO port). Once configured, the 
HALnode’s digital ports are used as they were a part of the 
controller. This functionality requires firmware version 46 or 
newer.

node1=192.168.1.252 

– use the digital IOs of the 

HALnode at the IP 

192.168.2.252

eth

This parameter specifies the behaviour of the Ethernet interface. 
Here following values can be set:

0 – Ethernet network interface is disabled completely. 
This means it is no longer possible to connect to E1701 
via Telnet or via BeamConstruct. All SNTP-
functionalities are disabled too. This option can be used 
to suppress illegal access to Ethernet, to save several 
seconds of startup-time and to save some power.

1 – this mode enables the Ethernet interface and checks 
once at the beginning if some Ethernet hardware is 
connected to the controller card; when the “eth”-
parameter is not specified at all, the resulting behaviour 
is the same

2 – this enables Ethernet polling mode; instead of 
checking for an Ethernet device only once during boot, 
in this mode the interface is polled regularly until an 
electrical connection is detected. As long as the 
controller is polling, the Alive-LED blinks very slow and 
toggles once in about 20 seconds, when an Ethernet 
device was detected, the blink frequency changes to 
normal speed;
PLEASE NOTE: when this mode is used, access via USB is 
limited, so “eth” should be set to “2” only when no 
communication via USB is intended.
The “eth”-value of 2 requires a firmware version 39 or 
newer

eth=0

 – turn off Ethernet 

interface completely

pethd

When Ethernet connection is used, it has to be established on 
power-up of the controller card as this connection is set-up and 

pethd=20

 - halt 

initialisation of the 

25

background image

Parameter

Description

Example

configured by the controller only once during boot. There may be 
situations where the other side of the Ethernet connection can 
not boot up as fast as E1701. In such cases this parameter can be 
used. It delays initialisation of Ethernet by the time given as 
parameter. The time is specified in unit “delayticks” where one 
“delaytick” is equal to about 0,5 seconds.
As long as the controller is halted during initialisation due to this 
parameter, this is signalled by the Stop-LED (please refer to 6.1.5
 User LEDs for details).

This feature requires a firmware version 34 or newer.

controller for about 10 

seconds prior to 

initialisation of Ethernet 

interface

cswaf

Sets a factor in unit bits per mm that is used with all commands 
that specify some distance or position (such as cspof). When this 
factor is set to a proper value, the given positions/distances can 
be specified in unit um instead of bits.
This parameter requires a firmware version 45 or newer.

cswaf=671089

 – set the 

conversion factor from bits 

to mm for a 100x100 mm 

working area

6.1.8.1 Firmware Update

As described above the firmware is located on microSD-Card and therefore can be updated easily:

1. remove  the microSD-Card as described above
2. download a new firmware from 

https://halaser.systems/download/Firmware/E1701

 (the higher the 

number in the file name, the newer the firmware is)

3. copy the contents of this ZIP-file to microSD-Card (please take care about e1701.cfg in case it contains 

a changed configuration)

4. reinsert microSD-Card as described in previous section

6.1.9 Laser/Scanner Signals

The white 26 pin connector provides several signals to be used to control up to three galvos of a scanhead and a 
laser source. It can be connected to an XY2-100 or XY2-100-E compatible scanner system via an adapter cable 
which splits XY2-100 and laser/input control signals. The connector is a white one to avoid confusion when a 
LP8 Extension Board is used too. The connector provides following signals:

Upper 

Row Of 

Pins

Signal

Voltage

Remarks

Lower 

Row Of 

Pins

Signal

Voltage

Remarks

1

CLK-

XY2-100- / 
XY2-100-E-
compatible 
signals

2

CLK+

XY2-100- / 
XY2-100-E-
compatible 
signals

3

SYNC-

4

SYNC+

5

X-

6

X+

7

Y-

8

Y+

9

Z-

10

Z+

11

LaserA

CMOS, 0/5V, 
max 14 mA

Laser control 
signals

12

GND

GND

13

Laser 
Gate

CMOS, 0/5V, 
max 14 mA

14

GND

GND

15

LaserB

CMOS, 0/5V, 
max 14 mA

16

ExtStart

CMOS, 0/5V

Input control 
signals

17

5V

5V

18

ExtStop

CMOS, 0/5V

19

do not 
connect

20

GND

GND

21

GND

GND

22

GND

GND

23

do not 
connect

24

do not 
connect

25

do not 
connect

26

do not 
connect

Laser Gate provides laser modulation signal, turns on the laser during marks and off during jumps.

26

background image

LaserA usage depends on software configuration and control, it is able to output a pulse-width modulated 
frequency (e.g. for controlling CO

2

 lasers), CW/continuously running frequency (e.g. for fiber lasers) or Q-

Switch signal (e.g. for YAG lasers) in range 25 Hz..20 MHz.

LaserB can be used for emitting a FPK pulse (e.g. for YAG lasers).

ExtStart expects a CMOS-level input signal in respect to GND and can be used as external trigger signal to start 
operations when a HIGH-signal is detected at input pin.

ExtStop expects a CMOS-level input signal in respect to GND and can be used as external stop-signal in order 
to stop a running marking operation by using a HIGH-signal at input pin.

The E1701D can operate in XY3-100 mode too. This requires a firmware version 37 or newer. The controller 
can be connected to an XY3-100 compatible scanner system via an adapter cable which splits XY3-100 and 
laser/input control signals. The scanner connector is a white one to avoid confusion when a LP8 Extension 
Board is used too. The connector provides following signals:

Upper 

Row Of 

Pins

Signal

Voltage

Remarks

Lower 

Row Of 

Pins

Signal

Voltage

Remarks

1

A-

XY3-100-
compatible 
signals

2

A+

XY3-100-
compatible 
signals

3

B-

4

B+

5

C-

6

C+

7

D-

8

D+

9

10

11

LaserA

CMOS, 0/5V, 
max 14 mA

Laser control 
signals

12

GND

GND

13

Laser 
Gate

CMOS, 0/5V, 
max 14 mA

14

GND

GND

15

LaserB

CMOS, 0/5V, 
max 14 mA

16

ExtStart

CMOS, 0/5V

Input control 
signals

17

5V

5V

18

ExtStop

CMOS, 0/5V

19

do not 
connect

20

GND

GND

21

GND

GND

22

GND

GND

23

do not 
connect

24

do not 
connect

25

F-

XY3-100 
backchannel

1)

26

F+

XY3-100 
backchannel

1)

1)

 Requires hardware revision 1.5 or newer

Laser Gate provides laser modulation signal, turns on the laser during marks and off during jumps.

LaserA usage depends on software configuration and control, it is able to output a pulse-width modulated 
frequency (e.g. for controlling CO

2

 lasers), CW/continuously running frequency (e.g. for fiber lasers) or Q-

Switch signal (e.g. for YAG lasers) in range 25 Hz..20 MHz.

LaserB can be used for emitting a FPK pulse (e.g. for YAG lasers).

ExtStart expects a CMOS-level input signal in respect to GND and can be used as external trigger signal to start 
operations when a HIGH-signal is detected at input pin.

ExtStop expects a CMOS-level input signal in respect to GND and can be used as external stop-signal in order 
to stop a running marking operation by using a HIGH-signal at input pin.

6.1.9.1 XY2-100 Connection Cable

E1701D scanner controller board can operate an XY2-100-compatible scanner system directly. Here an 
adapter-cable is required that splits XY2-100 signals and additional laser/input control signals. Using such a 

27

background image

cable white 26 pin connector described above should be converted to a female, XY2-100-compatible, 25 pin 
SUB-D connector (to connect with scanhead) and a female 9 pin SUB-D connector (which provides laser signals 
and start/stop inputs).

Pinout of a D-SUB25 XY2-100 connector should be conform to standard with ground-signals (GND) at pins 11, 
23 and 24:

1 – CLK-

2 – SYNC-

3 – X-

4 – Y-

5 – Z-

11 – GND

14 – CLK+
15 – SYNC+
16 – X+
17 – Y+
18 – Z+

23 – GND
24 – GND

XY2-100 status signals from scanhead are not used for E1701D.

Pinout of a limited D-SUB15 XY2-100 connector depends on used scanhead but typically looks like this:

1 – CLK-

2 – SYNC-

3 – X-

4 – Y-

5 – Z-

8 - GND

9 – CLK+
10 – SYNC+
11 – X+
12 – Y+
13 – Z+

15 – GND

XY2-100 status signals from scanhead are not used for E1701D.

Possible pinout of 9 pin SUB-D laser signal and control connector is shown below:

1 – LaserA

2 – Laser Gate

3 – LaserB

4 – 5V

5 – GND

6 – GND
7 – GND
8 – ExtStart
9 – ExtStop

Please note: to avoid this complex and potentially error-prone wiring, you also can use the E1701dock for 
simple and easy 1:1 connection using a standard cable. For details please refer to section “6.6 E1701dock 
Extension Board
”.

6.1.9.2 XY3-100 Connection Cable

E1701D scanner controller board can operate an XY3-100-compatible scanner system directly. Here an 
adapter-cable is required that splits XY3-100 signals and additional laser/input control signals. Using such a 
cable white 26 pin connector described above should be converted to a female, XY3-100-compatible, 25 pin 

28

background image

SUB-D connector (to connect with scanhead) and a female 9 pin SUB-D connector (which provides laser signals 
and start/stop inputs).

Pinout of a D-SUB25 XY3-100 connector should be conform to standard with ground-signals (GND) at pins 11, 
23 and 24:

1 – A-
2 – B-

3 – C-

4 – D-

6 – F-

11 – GND

14 – A+
15 – B+
16 – C+
17 – D+

19 – F+

23 – GND
24 – GND

XY3-100 E+- signals are not used for E1701D.

Possible pinout of 9 pin SUB-D laser signal and control connector is shown below:

1 – LaserA

2 – Laser Gate

3 – LaserB

4 – 5V

5 – GND

6 – GND
7 – GND
8 – ExtStart
9 – ExtStop

Please note: to avoid this complex and potentially error-prone wiring, you also can use the E1701dock for 
simple and easy 1:1 connection using a standard cable. For details please refer to section “6.6 E1701dock 
Extension Board
”.

6.1.10 Extension Connectors

The two extension connectors on each side of the board can be used to place extension boards with additional 
peripheral interfaces. The extension connectors are designed to place/remove boards from time to time but 
they are not intended for constant hardware changes. So changing extension boards repeatedly and often e.g. 
as permanent part of a production process is not recommended.

Key pin closed on lower connector and missing in upper board to ensure correct orientation

PLEASE NOTE: when placing a new extension board
1.check correct orientation and position of the key pin which is closed in connector

29

background image

2.place the pins of the extension boards onto the extension connectors exactly
3.move down the extension board by pressing on its extension connectors gently; DO NOT PRESS THE BOARD 
ITSELF BUT ONLY THE CONNECTORS!

PLEASE NOTE: When removing an extension board DO NOT pull on the extension connectors but hold both 
boards on their long side directly at the PCBs edges:

Due to of the large number of pins, it is easy to plug in an extension but more difficult to pull it out. So when 
removing an extension board, it is recommended to be very slow and to carefully pull each side up just a little bit 
to avoid bending of the pins as they exit. 

6.1.11 Stand-Alone Operation

E1701 scanner controller cards can be operated in stand-alone mode. In this mode all marking data are stored 
on SD-card and the board can operate without direct control of a host-PC that sends the data to be marked. 
Such stand-alone marking data can be created e.g. in BeamConstruct marking software.

The names of these stand-alone files have to be in format 8.3, means the filename has to consist of eight 
characters at max, followed by a file extension which consists of 3 characters. The base-stand-alone file comes 
with a file-extension .EPR. In case the stand-alone file contains dynamic data, a second file with the same 
filename but the extension .DAT is created (for details about dynamic stand-alone data please refer to section 
6.1.11.1 Create Stand-Alone Data with BeamConstruct”). When a stand-alone-mode of type “ioselect” is used, 
the filename has to follow some specific rules too, here it typically has to be a number which corresponds to the 
selection done at the digital inputs (for details about the different stand-alone modes and their behaviour 
please refer to section “6.1.11.2 Stand-Alone Configuration Parameters”).

6.1.11.1 Create Stand-Alone Data with BeamConstruct

To use BeamConstruct for generation of stand-alone data for E1701 scanner controllers, the card has to be 
fully configured (including all scanner, laser and pen-parameters). Next the marking data to be stored on SD-

30

background image

card have to be created. To generate stand-alone data, menu "Processing", sub-menu "Write Marking Data to 
File" or "Send Named Marking Data" has to be selected.

First one gives the possibility to write the data to microSD card when E1701 is switched off and the microSD 
card is plugged into host PC. Here it is recommended to use file extension ".EPR" for the file generated by 
BeamConstruct. Next it is also recommended to always let BeamConstruct write to microSD card directly 
because sometimes more than only one file is created. Direct write operation to BeamConstruct ensures all 
files are available on microSD and no data can be forgotten to be copied.

The second variant allows to download the stand-alone data to the controller while it is connected and running. 
Precondition for sending data to a running controller are:

no mark operation is in progress (controller is idle)

no stand-alone project is loaded (please refer to description of ioselect-mode and stand-alone control 
commands below).

a valid name is given in style 0:/filename.epr

This operation creates the .EPR-file and all additional files on microSD card of the running controller 
automatically.

PLEASE NOTE: such an .EPR-stand-alone file can NOT be converted back to vector data that could be edited in 
BeamConstruct! Creating these files is a one-way-conversion of your projects. Thus it is recommended to save 
these projects twice – once as normal .BEAMP-File which can be loaded and modified later and once as .EPR-
file which has to be used on SD-card. This also means such .EPR-files are protected so that it is possible to give 
away designs to some end-users which shall not be able to modify them.

E1701 controller supports all static data in stand-alone mode (like all kinds of static geometries, output signals, 
waiting for input commands, waiting for trigger, all laser- and scanner parameters). But it does not store the 
vector data using a possibly configured correction table! To get a valid correction for stand-alone operations, 
the related correction file has to be saved on microSD card and needs to be activated using parameter 
"corrtable0" in e1701.cfg configuration file (please refer to description above).

Next E1701 scanner card supports dynamic content when following conditions are met:

a text element uses one of the laser vector font families "Roman", "Script" or "Times" and it makes use 
of an input element or

a text element makes use of a TrueType font and it makes use of an input element; here any available 
TrueType font can be used and several hatch-patterns can be applied

 for both types of text some limitations apply (only left t

o right orientation, no 

scaling/rotation/slant/mirroring is applied to the font and only the characters 

' ', !, ", #, $, 

%, &, \, (, ), *, +, ,, -, ., /, 0, 1, 2, 3, 4, 5, 6, 7, 8, 9, :, ;, <, =, 
>, ?, @, A, B, C, D, E, F, G, H, I, J, K, L, M, N, O, P, Q, R, S, T, U, V, 
W, X, Y, Z, [, \, ], ^, _, `, a, b, c, d, e, f, g, h, i, j, k, l, m, n, o, 
p, q, r, s, t, u, v, w, x, y, z, {, |, }

 and 

~

 can be used, firmware version 29 or 

newer is required, BeamConstruct version 4.8 or newer is required); or

a barcode element uses type "DataMatrix" with option "MergeCells" disabled and it makes use of an 
input element

any kind of hatch and combined hatches can be applied to a barcode element (but not to a text element)

marking output is neither XY-flipped nor mirrored nor rotated or slanted

when an input element of type “Serial Number” is used, serial number counting is done according to the 
settings of the related element

when an input element of type “CSV File Data” is used, elements out of a CSV-table can be read and 
used for the dynamic element:
the CSV-file itself needs to be placed on the SD-card and has to use the same name like the EPR file but 
with extension CSV (so when the stand-alone file is named “data.epr”, the CSV-file needs to be named 
“data.csv”), resulting from that one EPR file can handle exactly one CSV file;

supported parameters of the CSV input element are the column separator, the data column to read the 
data from and the “Endless loop” option (for details please refer to the manual of BeamConstruct);
this feature requires a firmware version 40 or newer

when any input element is used, the contents of the text/barcode can be changed via command 

cstxt

”, in this case the automatic updating of the input element has no effect

31

background image

When these conditions are met, a text or barcode can be modified during stand-alone operation either via 
stand-alone control commands as described below or via a Serial Number input element that is applied to it in 
BeamConstruct. Here all serial number, time, date and formatting functions of this input element are 
supported. To get a valid time in stand-alone mode, it needs to be set after boot-up via stand-alone control 
commands (as described below) or a SNTP time server has to be configured to retrieve current time from an 
external source (please refer to description e1701.cfg parameters above).

6.1.11.2 Stand-Alone Configuration Parameters

Within e1701.cfg configuration file of E1701 scanner controller one of the following stand-alone operation 
modes can be selected via the configuration parameter "standalone":

standalone=off

Stand-alone mode is fully disabled, the card acts as normal, host-PC-controlled device and all .epr-files on the 
SD-card are ignored. Digital outputs are not toggled since no stand-alone operational states have to be 
signalised here (please refer next section).

standalone=auto

Stand-alone mode is enabled, a file specified by and additional parameter "autofile" is loaded and prepared for 
marking. Marking of this file is started only when an external trigger signal is detected. The file itself has to be 
specified via additional configuration parameter that gives the filename of the stand-alone file to be loaded. As 
an example a parameter: "

autofile=0:/myfile.epr

" would try to load the file "myfile.epr" from SD-card 

and prepare it for marking. In this mode the digital outputs are toggled as described in next section.

standalone=loop

This is the same like mode "auto" described above, but using "loop" the E1701 controller does NOT wait for an 
external trigger signal! So when no trigger points are set in stand-alone datafile itself, in this mode marking 
would be done in an infinite loop, repeating the given "

autofile

" again and again.

standalone=haltedloop

This is the same like mode "loop" described above, but marking does not start immediately. By default the 
controller is in state “halt” until the ExtStart input is set to HIGH level. Marking continues only as long this input 
stays at HIGH. When it goes back to LOW, marking is continued until the laser is turned off the next time 
(defined by the geometry which is currently loaded) and it is halted again. Next time ExtStart goes to HIGH, 
marking continues at the position where it was halted before.
Please note: for this mode it is recommended to have marking data with vectors that are interrupted by jumps 
from time to time. When ExtStart gows to LOW, marking continues until the next jump is found. This means, 
when the controller processes a complex, long-lasting vector, marking will continue for the whole time this 
vector needs although ExtStart is already wt LOW. So the laser is never interrupted and turned off within a 
mark operation.
This mode requires firmware version 27 or newer.
In this mode the timeout-parameter “

haltedlooptimeout

” is used.

standalone=iohaltedloop

This mode is a combination out of "haltedloop" described above and “ioselect” described below (please refer 
there for usage details). In this mode a project can be selected via digital inputs but it is started immediately and 
marked in an endless loop as long as ExtStart input is HIGH (so the level at ExtStart is checked, not the rising 
edge of an applied signal). When a different project is selected by applying a different input pattern at DIn 
digital inputs, the current project is cancelled and the new one is started in a loop again.
This mode requires firmware version 28 or newer.
In this mode the timeout-parameter “

haltedlooptimeout

” is used.

standalone=ioselect

32

background image

This mode requires Digi I/O Extension Board (please refer below). Here it is possible to select one of 256 stand-
alone marking jobs via the digital inputs. The number that results out of the input pattern of the Digi I/O input 
lines specifies the filename of the marking job that has to be loaded from SD card:

Selected input(s)

Stand-alone file loaded from SD-card

All inputs set to LOW (not recommended to be used)

0.epr

DIn0 set to HIGH

1.epr

DIn1 set to HIGH

2.epr

DIn0 and DIn1 set to HIGH

3.epr

DIn2 set to HIGH

4.epr

DIn0 and DIn2 set to HIGH

5.epr

DIn1 and DIn2 set to HIGH

6.epr

DIn0, DIn1 and DIn2 set to HIGH

7.epr

DIn3 set to HIGH

8.epr

DIn4 set to HIGH

16.epr

DIn5 set to HIGH

32.epr

DIn6 set to HIGH

64.epr

DIn7 set to HIGH

128.epr

All inputs set to high

255.epr

PLEASE NOTE: 0.epr (no inputs set to HIGH) can be used but it is not recommended to do that. This value 
should be reserved for "no job active" to set the card into an inactive mode also in stand-alone operational 
mode. This may be necessary e.g. when new project data are downloaded to the controller without removing 
the SD-card.

Marking of a IO-selected job is started by external trigger signal (ExtStart input). When the input pattern at 
DIn0..DIn7 changes during marking, the currently running operation is continued and the other stand-alone job 
is loaded after marking operation has finished. In this mode the digital outputs are toggled as described in next 
section.

In stand-alone mode “ioselect” and “idxselect” .EPR-files are loaded from microSD card as soon as a new input 
pattern is detected at digital inputs or as soon as a new index is loaded by command “clepr”. Depending on the 
size of the .EPR file and the speed of the microSD card, this may take a time that is too long for high-speed 
applications. Thus it is possible to operate such projects from controller's RAM completely: in e1701.cfg the 
numbers of the files to be loaded have to be specified with parameter “iobuff”, it can be used up to 20 times and 
expects the number of the file (so a line “iobuff=3” would be responsible for preloading file “0:/3.epr”), file 
“0.epr” can not be loaded by this command.

Now these files are loaded into RAM and switching from one to an other is done much faster since toggling 
between them is done controller-internal and no more disk-operations are necessary for that.
PLEASE NOTE: when too much too large .EPR files are selected for preloading, this may exceed the available 
memory on card. This is signalled by the Error LED turned on and an appropriate message is stored in log buffer. 
In such a case a proper operation is no longer guaranteed.
The prebuffer-feature requires firmware version 27 or newer.

standalone=idxselect

33

background image

This mode works exactly like the mode “ioselect” (described above), but it does not need the Digi I/O Extension 
board. Instead of that, loading of a file can be done via an index number and the command 

clepr

. There the 

number of the file to be loaded has to be given. For a full description of all functions and features of mode 
“idxselect”, please refer the “ioselect” description above.
This stand-alone mode requires a firmware version 35 or newer.

iolatch=1

This option can be enabled for one of the digital-input-controlled stand-alone modes “ioselect”, “idxselect” and 
“iohaltedloop”. When this option is set to 0 or when it does not exist in e1701.cfg, the digital input bitpattern at 
DIn0..DIn7 is used as new input value as soon as it is detected. When it is enabled, DIn7 is used as latch-bit. 
Then the digital input bitpattern at DIn0..DIn6 is used only when DIn7 is set to HIGH. So a proper method of 
selecting a digital input bitpattern with latch enabled would be:

ensure DIn7 is at LOW

apply the desired bitpattern at DIn0..DIn6

wait for the maximum time the input bits may need to settle (depends on the external hardware and its 
capabilities)

set DIn7 to HIGH

wait until DOut0 goes to LOW

wait until DOut0 goes back to HIGH (when a valid bitpattern was applied that corresponds to an 
existing EPR file) or until loading timeout has elapsed (when a bitpattern has been applied where no 
EPR file exists for

set DIn7 to LOW

So as long as DIn7 is at low, state-changes at DIn0..DIn6 are ignored and the last detected bitpattern is used. In 
this mode only 127 different input bitpatterns are possible as DIn7 is used as latch bit.
This function is available in firmware versions 38 or newer.

6.1.11.3 Stand-Alone Control

The current stand-alone operational state is signalised via digital outputs (requires Digi I/O Extension Board):

DOut0

 – ready for marking – this output goes to HIGH as soon as a stand-alone job could be found on disk, was 

loaded successfully and is ready for marking. So external start signal should not be given until this output is 
HIGH. When a new stand-alone file is selected (e.g. via digital inputs in "

ioselect

"-mode) this output goes to 

LOW. It is switched back to HIGH only when the new file could be loaded successfully too.
This signal can be mapped to a different hardware output using configuration parameter 

tunereadyout

 and 

the related tune-flag.

DOut1

 – marking active – as long as this output is HIGH, a marking operation is in progress. When a different 

stand-alone file is selected (e.g. via digital inputs) as long as this output is HIGH, marking is continued and the 
new file is NOT loaded. Once the current marking operation is completed, the output goes to LOW. After that 
the board continues with current marking data (when no new ones have been selected), or it tries to load new 
ones (when a new file was selected).

Please note: in firmware versions prior to v32 in stand-alone modes “

haltedloop

” and “

iohaltedloop

” this 

signal is not used since the user had full control over the marking process via the ExtStart input. So in case of 
these modes the logic is: when both, DOut0 and ExtStart are at HIGH, the controller is marking. Starting with 
firmware version 31 the DOut1 signal is used in same way as for all other stand-alone modes.
This signal can be mapped to a different hardware output using configuration parameter 

tunemarkout

 and 

the related tune-flag.

34

background image

6.2 E1701A Analogue Laser Scanner Controller Baseboard

The E1701A Analogue Laser Scanner Controller Baseboard provides following connectors and interfaces:

1. Ethernet – for communication with the host system, marking information are submitted via this path
2. USB – via microUSB connector for providing BeamConstruct PRO license to host system and 

optionally for submitting marking data from host to E1701A card (in case Ethernet is not used)

3. Power – connect with power supply +- 15V DC
4. Power LED – lights when power is available
5. User LEDs – show operational and error states of card
6. Laser LED – shows modulation state of laser
7. microSD-card (on bottom side) – storage place for firmware and extended configuration file, can be 

used to upgrade firmware, to change the card's IP and other things more

8. Laser/Scanner signals – white 26 pin laser and scanner output connector which provides analogue 

scanner signals as well as laser and marking control IOs

9. Extension connectors – extension boards can be placed below of E1701A Baseboard in order to add 

some more functionality and hardware interfaces to the board

10. DAC heatsinks

6.2.1 Ethernet

For a description of usage and configuration of Ethernet interface please refer to related section about 
E1701D's Ethernet interface above.

6.2.2 USB

This is a standard miniUSB-connector for connection of the board with the host system. It is used to retrieve 
BeamConstruct PRO license and optionally to send marking data to the card. When USB is used for sending all 
scanner and laser data, Ethernet cable does not need to be connected.
PLEASE NOTE: USB 2.0 is much slower than a standard 100 Mbit Ethernet connection, so expect slower 
execution in case of complex marking data!
Required device driver is installed together with installation of the HALsetup software package (Windows) or 
comes with operating system by default (Linux). E1701A card appears as COM-interface on Windows using any 
free number for the port. With Linux it appears as /dev/ttyACMx where "x" is any number. These numbers are 
provided by the operating system automatically.
PLEASE NOTE: this connection can not be used to power E1701A scanner controller. It may boot up and react 
on control commands from host PC but it will not emit any signals at analogue output connectors! A separate 
power supply via +-15V is mandatory in order to operate E1701A controller. For details about this power 
supply please refer to following section.

35

background image

6.2.3 Power

Power supply for E1701A scanner controller board is done via 6 pin header on upper left corner of the board. 
Here pairs of pins belong to same power level. An a

ppropriate fuse for circuit protection must be provided by the 

external equipment:

Power has to be supplied via this connector by connecting to a bipolar power supply with a maximum voltage of 
+-15V DC, max +/- 0.15V tolerance and 1.5A (stabilised and smoothed). Do not apply voltages in excess of 15V 
or with inverted polarity to this input. The DC power supply must be grounded.

To avoid the boards components heat up more than necessary, the power input can be limited:

when XY outputs operate with +-5V, voltage of +-8V is enough for proper operation

when XY outputs operate with +-10V, voltage of +-13V is enough for proper operation

Operating E1701A with a lower voltage than the maximum of +-15V can not only help to keep the board cooler 
but also saves power during operation.

To avoid high frequency interferences from other electrical equipment or from within the power supply, it is 
recommended to place a ferrite bead at the cable close to the board. Please also check for correct shielding in 
respect to the equipment the E1701A card is used within.

When there is no single power supply available which provides +-15V outputs, two separate 15V power 
supplies can be used too:

Positive output of the first power supply and negative output of the second one need to be connected with each 
other and form the centre ground connector. The remaining negative output of the first and positive output of 
the second power supply then are the -V and +V output.

6.2.4 Power LED

For a description of Power LED please refer to related section in description of E1701D controller above.

6.2.5 User LEDs

For a description of User LEDs please refer to related section in description of E1701D controller above.

36

background image

6.2.6 Laser LED

For a description of Laser LEDs please refer to related section in description of E1701D controller above.

6.2.7 microSD-Card

For a description of microSD card, its usage, configuration possibilities, firmware updates and others please 
refer to related section in description of E1701D controller above.

6.2.8 Laser/Scanner Signals

The white 26 pin connector provides several signals to be used to control two galvos of a scanhead and a laser 
source. The connector is a white one to avoid confusion when a LP8 Extension Board is used too.
The connector provides following signals:

Upper 

Row Of 

Pins

Signal

Voltage

Remarks

Lower 

Row Of 

Pins

Signal

Voltage

Remarks

1

X+

+-5V / +-10V, 
max 5 mA

2

X-

+-5V / +-10V, 
max 5 mA

3

Y+

+-5V / +-10V, 
max 5 mA

4

Y-

+-5V / +-10V, 
max 5 mA

5

AOut1

0..5V, max 10 
mA

6

GND

AOut1

GND

7

Static 
Interlock

Connected 
with pin 8

8

Static 
Interlock

Connected 
with pin 7

9

AOut1

0..5V, max 10 
mA

10

GND

AOut1

GND

11

AOut2

0..5V, max 10 
mA

12

GND

AOut2

GND

13

AOut3

0..5V, max 10 
mA

14

GND

AOut3

GND

15

LaserGate CMOS, 0/5V, 

max 14 mA

16

GND

GND

17

do not 
connect

18

ExtStart

CMOS, 0/5V

Input

19

5V

5V

20

ExtStop

CMOS, 0/5V

Input

21

do not 
connect

22

do not 
connect

23

do not 
connect

24

GND

GND

25

LaserGate CMOS, 0/5V, 

max 14 mA

26

do not 
connect

LaserGate provides laser modulation signal, turns on the laser during marks and off during jumps. Outputs 
LaserGate at pin 15 and LaserGate at pin 25 are working fully parallel, so the maximum current that can be 
pulled out of both together is 14 mA.

Analogue outputs AOut1..AOut3 provide additional analogue control. Outputs AOut1 at pin 5 and AOut1 at pin 
9 are working fully parallel, so the maximum current that can be pulled out of both together is 10 mA.

ExtStart expects a CMOS-level input signal in respect to GND and can be used as external trigger signal to start 
operations when a HIGH-signal is detected at input pin.

ExtStop expects a CMOS-level input signal in respect to GND and can be used as external stop-signal in order 
to stop a running marking operation by using a HIGH-signal at input pin.

Static Interlock at pins 7 and 8 is available to be compatible with ILDA standard.

37

background image

PLEASE NOTE: these outputs are connected statically to each other, means there is no condition where 
connection between pin 7 and 8 is interrupted! Thus this connection can not be used for security locks in order 
to turn off the laser. Here additional, external security measures are necessary!

6.2.9 Extension Connectors

The two extension connectors on each side of the board can be used to place extension boards with additional 
peripheral interfaces between E1701A Baseboard and its underlying processor board. So comparing to 
extensions added to E1701D scanner controller (as described in detail above), E1701A baseboard always has 
to be placed on top. Thus for extending E1701A the baseboard has to be separated from its processor board (as 
described in detail in related section in E1701D description above), then extension board(s) has/have to be 
placed on processor board while E1701A baseboard afterwards has to complete this set and needs to be added 
on top.

For a more detailed description about how to unmount and mount the boards in order to add extensions, please 
refer to related section in E1701D description above

PLEASE NOTE: when placing a new extension board or when adding E1701A board on top:
1.check correct orientation and position of the key pin which is closed in connector
2.place the pins of the extension boards onto the extension connectors exactly
3.move down the extension board by pressing on its extension connectors gently; DO NOT PRESS THE BOARD 
ITSELF BUT ONLY THE CONNECTORS!

6.2.10 DAC Heatsinks

The DAC heatsinks at the output lines of E1701A can become quite hot. Normal operation temperature can be 
up to 125°C without any damage to the electronics. But for integration of this board it is important to ensure

a) proper air flow and
b) nobody and nothing touches these heatsinks in order to avoid injury or other hardware to be damaged.

To limit temperature at these heatsinks, please refer to section regarding power supply of E1701A above.

6.2.11 Stand-Alone Operation

For a description of Stand-Alone-Operation, it possibilities, usage and configuration please refer to related 
section in description of E1701D controller above.

38

background image

6.3 E1701 LP8 Extension Board

The E1701 LP8 Extension Board can be used with E1701D and E1701A baseboards and provides following 
features:

1. MO LED – shows state of Main Oscillator output
2. Laser signals – black 26 pin laser output connector which provides signals for controlling a laser
3. Extension connectors – more extension boards can be placed here in order to add some more 

functionality and hardware interfaces to the board, please refer to related section in description of 
baseboard above

6.3.1 MO LED

This LED is specific to the Main Oscillator output signal described below. As long as the signal is on (HIGH-
signal at output pin), the LED is turned on.

6.3.2 Laser Signals

The black 26 pin connector provides several signals for controlling a laser source. It can be used e.g. together 
with YAG, CO

2

, IPG™, fiber and compatible lasers since it provides additional signals and frequencies these laser 

types may require for proper operation. To avoid confusion with similar connector used on E1701D Base board 
this connector is black.

The connector provides following signals:

39

background image

Upper 

Row Of 

Pins

Signal

Voltage

Remarks

Lower 

Row Of 

Pins

Signal

Voltage

Remarks

1

LP8_0

CMOS, 0/5V, 
max 8 mA

2

GND

GND

3

LP8_1

CMOS, 0/5V, 
max 8 mA

4

5

LP8_2

CMOS, 0/5V, 
max 8 mA

6

5V

5V

7

LP8_3

CMOS, 0/5V, 
max 8 mA

8

MO

CMOS, 0/5V, 
max 8 mA

Main Oscillator

9

LP8_4

CMOS, 0/5V, 
max 8 mA

10

AOut0

0..5V, max 15 
mA

Analogue 
output

11

LP8_5

CMOS, 0/5V, 
max 8 mA

12

13

LP8_6

CMOS, 0/5V, 
max 8 mA

14

15

LP8_7

CMOS, 0/5V, 
max 8 mA

16

17

LP8 
Latch

CMOS, 0/5V, 
max 8 mA

18

5V

5V

19

LaserB

CMOS, 0/5V, 
max 14 mA

FPK

20

Connected to 
pin 21

21

Connected to 
pin 20

22

LaserA CMOS, 0/5V, 

max 14 mA

PWM, 
frequency or Q-
Switch

23

GND

GND

24

25

5V

5V

26

Laser
Gate

1

CMOS, 0/5V, 
max 14 mA

LP8_0...LP8_7 provide parallel 8 bit output signal (e.g. for power control with IPG(tm)/fiber lasers, waveform 
selection for SPI(tm) lasers and other).

LP8 Latch pin signals valid output at LP8_0..LP8_7 and AOut0 by submitting a latch pulse of software-
controlled length.

MO can be used to enable main oscillator (e.g. for IPG(tm)/fiber lasers or compatible).

LaserA usage depends on software configuration and control, it is able to output a pulse-width modulated 
frequency (e.g. for controlling CO

2

 lasers), CW/continuously running frequency (e.g. for fiber lasers) or Q-

Switch signal (e.g. for YAG lasers) in range 25 Hz..20 MHz.

LaserB can be used for emitting a FPK pulse (e.g. for YAG lasers).

AOut0 pin provides unipolar analogue output for controlling e.g. laser power or additional equipment. This 

output is directly dependent on LP8_0..LP8_7 output, they are electrically connected and therefore can’t have 
different values and can’t be controlled by software independently. So when LP8 outputs are all LOW, AOut0 is 
on 0V. When LP8 outputs are all HIGH, AOut0 is 5V.
PLEASE NOTE: output of 5V at AOut0 depends on the used power supply. So in case board is powered via USB 
and USB power supply delivers less than 5V, maximum output on AOut0 will be less than 5V too. Here is would 
be recommended to use the base board with an external power supply that feeds exactly 5V into it.

6.3.3 Extension Connectors

The two extension connectors on each side of the board can be used to place extension boards with additional 
peripheral interfaces. For a description of handling and usage of these connectors please refer above.

requires hardware-revision 1.1 or newer

40

background image

6.4 E1701 Digi I/O Extension Board

The E1701 Digi I/O Extension Board can be used with E1701D and E1701A baseboards and provides following 
features:

1. Digi I/O – electrically insulated digital in- and outputs
2. optional inputs for 90 degree phase shifted encoders to be used with marking on-the-fly operations
3. Opto-Configuration – choose operation mode for Digi I/Os
4. Input state LEDs – displaying of HIGH/LOW state of used inputs

In case more extension boards are used on E1701D, Digi I/O extension always has to be placed on top. For 
E1701A a specific variant of the Digi I/O extension has to be used which can be stacked and placed below of the 
E1701A baseboard which always needs to stay on top.

6.4.1 Digi I/O

The 20 pin connector provides 8 lines for input and 8 lines for output of digital signals that can work on CMOS 
level (non-insulated mode) or via opto-couplers (electrically insulated mode with external power supply) 
optionally. The operation mode depends on jumper settings described below. The connector is used as follows:

41

background image

Upper 

Row Of 

Pins

Signal

Voltage

Remarks

Lower 

Row Of 

Pins

Signal

Voltage

Remarks

1

V

ext

5..24V

Input voltage to 
be used in opto-
insulated mode 
only

2

GND

ext

GND

External ground

3

DOut0 CMOS, 0/5V 

or 0/V

ext

Default level: 
LOW 

1)

4

DIn0

CMOS, 0/5V 
or 0/V

ext

Encoder-input A1 
for marking on-
the-fly

5

DOut1 CMOS, 0/5V 

or 0/V

ext

Default level: 
LOW 

1)

6

DIn1

CMOS, 0/5V 
or 0/V

ext

Encoder-input B1 
for marking on-
the-fly

7

DOut2 CMOS, 0/5V 

or 0/V

ext

Default level: 
LOW 

1)

8

DIn2

CMOS, 0/5V 
or 0/V

ext

Second encoder-
input A2 for 
marking on-the-
fly

9

DOut3 CMOS, 0/5V 

or 0/V

ext

Default level: 
LOW 

1)

10

DIn3

CMOS, 0/5V 
or 0/V

ext

Second encoder-
input B2 for 
marking on-the-
fly

11

DOut4 CMOS, 0/5V 

or 0/V

ext

Default level: 
HIGH 

1)

12

DIn4

CMOS, 0/5V 
or 0/V

ext

13

DOut5 CMOS, 0/5V 

or 0/V

ext

Default level: 
HIGH 

1)

14

DIn5

CMOS, 0/5V 
or 0/V

ext

15

DOut6 CMOS, 0/5V 

or 0/V

ext

Default level: 
HIGH 

1)

16

DIn6

CMOS, 0/5V 
or 0/V

ext

17

DOut7 CMOS, 0/5V 

or 0/V

ext

Default level: 
HIGH 

1)

18

DIn7

CMOS, 0/5V 
or 0/V

ext

19

V

5V

Board voltage, 
to be used only 
when not 
operating in 
insulated mode

20

GND

GND

Board-internal 
ground

1) 

Please note the wiring scheme and the resulting, inverted logic below: a level of LOW means, the output is 

pulled to GND and a load that is connected from V to this pin is turned on. An level of HIGH means, the output is 
pulled to V and a properly wired load if turned off.

V

ext

 and GND

ext

 depend on opto-configuration as described below. In opto-insulated mode (opto-configuration 

jumpers not set) external power supply has to be connected to these inputs. Then DIn0..DIn7 and 
DOut0..DOut7 work in respect to this external power.
WARNING: When no opto-insulated mode is selected (opto-configuration jumpers are set), do NOT FEED ANY 
POWER into V

ext

, this would cause damage to the E1701 board! In this case V

ext

 is equal to V (5V) of the board 

and GND

ext

 is connected to boards ground GND.

Maximum current for every output is 15 mA when internally powered (non-insulated mode), here it is 
recommended to use an external power supply.
Maximum current for outputs DOut0..DOut3 is 50 mA when externally powered (V

ext

 in insulated mode).

Signal output lines DOut0..DOut7 operate in open collector mode and have to be wired as follows:

42

background image

Here “DOutx” symbolises one of the digital outputs DOut0..DOut7. V+ is either V (5V internal, non-insulated 
mode) or V

ext

 (up to 24V external, insulated mode). GND is either GND (non-insulated mode) or GND

ext

 

(insulated mode). The internal resistor of the connected device is not allowed to have less than 490 Ohms in 
order to not exceed the given current limits.
DOut0..DOut3 provide LOW signal level by default, DOut4..DOut7 provide HIGH level by default. These levels 
are valid immediately on power-up of the card.

6.4.1.1 Marking On-The-Fly Signals

Digital inputs 0 and 1 can be used as position encoder signal inputs for marking on-the-fly applications. Here 90 
degree phase-shifted input pulses are expected signalling motion direction and position change:

When these pulses are generated from a motion stage that moves the working piece, the resulting position 
information is used in marking on-the-fly mode to correct the marking positions accordingly. Resulting from 
that, marking will follow motion as far as available scanhead range and working area allows it.
The pulses generated out of the encoder signals have to be multiplied with a factor reflecting the resolution of 
the used encoder. To set up and adjust a marking on-the-fly-system properly, following steps have to be 
performed:

1. Connect encoder signals A1 and B1 to DigIn0 and DigiIn1 and configure E1701 controller for encoder 

usage (either from within BeamConstruct or via programming interface as described below)

2. Mark a square without any encoder signals feed into the controller
3. When the square does not have exact size and/or is distorted, modify correction table and/or gain 

settings

4. Mark the same square with a slow motion (using encoder pulses)

43

background image

5. When the square is damaged (means open on one side or compressed) the on-the-fly-factor has to be 

changed (set to a smaller or higher value)

6. Mark the same square with a fast motion (using encoder pulses)
7. When the square is damaged (means open on one side or compressed) the on-the-fly-factor has to be 

changed (set to a smaller or higher value)

The on-the-fly-factor controls the strength of compensation and is the relation between speed of external 
device/encoder pulses and card-internal compensation calculation. When this factor is wrong, the marking 
results are distorted. For a square (as recommended to be used in calibration steps above) following results are 
imaginable:

The left drawing shows an over-compensated system, here the internal compensation is too strong, the factor is 
too big. The right drawing shows an under-compensated set-up, here the factor is too small causing a too weak 
compensation. Only when marking result is really a square, the on-the-fly-factor is correct.

When “tune”-flag 2 is set, a second encoder can be used for 2D marking on-the-fly applications (requires 
firmware 25 or newer). In this mode digital inputs 0 and 1 (encoder inputs A1 and B1) correspond to X axis and 
on-the-fly factor for X direction. Additionally digital inputs 2 and 3 (encoder inputs A2 and B2) correspond to Y 
axis and on-the-fly factor for Y direction. Operation principle is the same as for 1D on-the-fly described above: 
the incremental values received from the encoders for X and Y are added to the current X and Y coordinates to 
be marked. Procedure for adjusting the encoder factor is also the same, here it is recommended to perform this 
operation for X and Y movements separately and finally try both motion directions together.

6.4.2 Opto-Configuration

Using these jumpers the operation mode for digital I/Os 0..7 can be chosen. When they are set, the opto-
couplers are powered internally. In this mode it is not working in opto-insulated mode and I/Os are using CMOS 
level signals.

When they are not set, external power and ground has to be provided at 20 pin connector (as described above) 
and these digital I/Os are working in electrically insulated, opto-coupled mode.

6.4.3 Input State LEDs

These 8 yellow LEDs show the state of corresponding 8 digital inputs. As long as a HIGH signal is detected on an 
input, the related LED is turned on.

44

background image

6.5 E1701 Secondary Head Extension Board

The E1701 Secondary Head Extension Board can be used up to three times with the same E1701D Baseboard 
to have a scanner controller system with up to four heads connected. These additional scanheads work fully 
parallel to the primary scanhead of E1701D baseboard.

PLEASE NOTE: This board can not be used together with E1701A baseboard!

It provides following features:

1. XY2-100 or XY3-100 signals for scanhead
2. Extension connectors – more extension boards can be placed here in order to add some more 

functionality and hardware interfaces to the board, please refer to related section in description of 
baseboard above

6.5.1 Scanner Signals

The white 26 pin connector provides XY2-100-compliant signals to be used to control up to three galvos of a 
scanhead. It can be connected to an XY2-100 compatible scanner system directly and without further 
modifications when a 1:1 connection to a D-SUB25 connector is used. The connector is a white one to avoid 
confusion when a LP8 Extension Board is used too.
The connector provides following signals:

45

background image

Upper 

Row Of 

Pins

Signal

Voltage

Remarks

Lower 

Row Of 

Pins

Signal

Voltage

Remarks

1

CLK-

XY2-100- / 
XY2-100-E-
compatible 
signals

2

CLK+

XY2-100- / 
XY2-100-E-
compatible 
signals

3

SYNC-

4

SYNC+

5

X-

6

X+

7

Y-

8

Y+

9

Z-

10

Z+

11

12

13

14

15

16

17

do not 
connect!

18

do not 
connect!

19

do not 
connect!

20

GND

GND

XY2-100- / 
XY2-100-E-
compatible 
signals

21

GND

GND

XY2-100- / 
XY2-100-E-
compatible 
signals

22

GND

GND

23

do not 
connect!

24

do not 
connect!

25

do not 
connect!

26

do not 
connect!

Comparing to E1701D Baseboard this connector does not provide any laser signals (like LaserGate, LaserA or 
LaserB). Since this scanner output works completely parallel to the one from E1701D Baseboard it has to be 
used together with the same laser using beam splitters.

When operated in XY3-100 mode, the related signals are provided at the white 26 pin connector. It can be 
connected to an XY3-100 compatible scanner system directly and without further modifications when a 1:1 
connection to a D-SUB25 connector is used. The connector is a white one to avoid confusion when a LP8 
Extension Board is used too.
The connector provides following signals:

Upper 

Row Of 

Pins

Signal

Voltage

Remarks

Lower 

Row Of 

Pins

Signal

Voltage

Remarks

1

A-

XY3-100-
compatible 
signals

2

A+

XY3-100-
compatible 
signals

3

B-

4

B+

5

C-

6

C+

7

D-

8

D+

9

10

11

12

13

14

15

16

17

do not 
connect!

18

do not 
connect!

19

do not 
connect!

20

GND

GND

XY2-100- / 
XY2-100-E-
compatible 
signals

21

GND

GND

XY2-100- / 
XY2-100-E-
compatible 
signals

22

GND

GND

23

do not 
connect!

24

do not 
connect!

25

do not 
connect!

26

do not 
connect!

46

background image

Comparing to E1701D Baseboard this connector does not provide any laser signals (like LaserGate, LaserA or 
LaserB). Since this scanner output works completely parallel to the one from E1701D Baseboard it has to be 
used together with the same laser using beam splitters.

6.5.2 Extension Connectors

The two extension connectors on each side of the board can be used to place extension boards with additional 
peripheral interfaces. For a description of handling and usage of these connectors please refer above.

47

background image

6.6 E1701dock Extension Board

The E1701dock is an expansion board which either can be mounted on very top of the E1701 (using hex-stands 
or distance bolts) or which can be mounted near to it (e.g. by using a second  E170Xbase). It has to be wired with 
simple 1:1 flat-belt cables to the E1701 controller card. Dependent on which extension boards are available, 
the E1701dock provides some easy to use interfaces for connecting external equipment without the need to 
have own, complex wiring. Or in other words: when E1701dock is used, it acts as some kind of breakout-board, 
lasers and scanheads can be connected quite easy, only a few 1:1 cables need to be plugged.

PLEASE NOTE: prior to using the E1701dock, please ensure the pinout of the connectors (as described below) 
really fit to your specific variant of your used laser. Elsewhere irreversible damage are possible at laser and/or 
scanner controller card.

PLEASE NOTE: when using the laser and/or digital signals (from LP8 or Digi IO extension board) in parallel, you 
need to ensure they are not used twice, out of both connectors. This may otherwise result in an undefined and 
unwanted behaviour as they work parallel and can’t be switched separately. When a parallel usage is intended, 
please double-check the current consumption of connected devices as the total current that can be provided by 
these lines does not double but is the same total value for two connections then. Exceeding the total maximum 
allowed current of a E1701-signal may cause an irreversible damage to the controller otherwise.

6.6.1 E1701dock Connectors

On top side the E1701dock provides the following connectors:

1.

E1701D baseboard connector

This connector has to be wired with a 1:1 connection to the E1701D baseboard (laser and scanner 
connector as described in section “6.1.9 Laser/Scanner Signals”)
PLEASE NOTE: this connector does not fit to the ILDA interface connector of E1701A electrically and 
is not allowed to be used with it!

2.

E1701A/D LP8 connector

This connector has to be wired with a 1:1 connection to the LP8 extension boards interface (as 
described in section “6.3.2 Laser Signals”); in case additional signals of the LP8 extension need to be 
used elsewhere, a flat-belt cable can be used that comes with three IDC-plugs on it. Then one plug can 
be connected to the LP8 extension board, one to the E1701dock and the third one to some additional 
hardware making use of this interfaces signals. In this case please ensure no signals are double-used 
and no short-circuits are caused on input lines, otherwise the controller card, the E1701dock and/or 
the connected hardware may be damaged irreversibly!

48

background image

3.

E1701A/D Digi I/O connector

This connector has to be wired with a 1:1 connection to the Digi IO extension boards interface (as 
described in section “6.4.1 Digi I/O”); in case additional signals of the Digi I/O extension need to be used 
elsewhere, a flat-belt cable can be used that comes with three IDC-plugs on it. Then one plug can be 
connected to the Digi IO extension board, one to the E1701dock and one to some additional hardware 
making use of this interface. In this case please ensure no signals are double-used and no short-circuits 
are caused on input lines, otherwise the controller card, the E1701dock and/or the connected 
hardware may be damaged irreversibly!

The Digi I/O connector needs to be wired only in case
- a MOPA laser is connected and at least one of the alarm feedback signals is used or
- A YAG/CO

2

 laser is connected and the shutter control signal is used

PLEASE NOTE:

 depending on the connected laser and the jumpers (8), some of the digital inputs are 

used from within the E1701dock! In this case the related signals should not be used for anything else, 
otherwise the controller card, the E1701dock and/or the connected hardware may be damaged 
irreversibly by a short-circuit! For more details please refer to the pinout of the laser connectors (5 and 
6) and the description of the jumpers (8) below.

4.

XY2-100/XY3-100 connector

In case the E1701dock is used with the E1701D controller card, this interface can be used to connect a 
XY2-100/XY3-100 scanhead directly. Here only a 1:1 D-SUB25 cable is needed. On this connector 
both, the XY2-100/XY3-100 signals as well as the optional power from the screw terminal (10) are 
provided. When a scanhead does not support power supply via the D-SUB25 cable, the power input at 
the screw terminal (10) can be left unused. This connector provides the standard pinout for 
XY2-100/XY3-100 connectors so that all compliant scanheads can be connected directly:

XY2-100 pinout

XY3-100 pinout

CLK-

SYNC-

X-

Y-

Z-

+V

+V

GND

-V

-V

CLK+

SYNC+
X+

Y+

Z+

+V

GND

GND

-V

A-

B-

C-

D-

E-

+V

+V

GND

-V

-V

A+

B+
C+

D+

E+

+V

GND

GND

-V

5.

MOPA laser connector

This connector of the E1701dock can be used with most MOPA/fiber lasers such as IPG YLP interface 
types G (without SPI serial interface and pin 12 alarm signal), E (without APD indexing), D, D1, B, B1, 
MaxPhotonics MFP, JPT YDFLP, Raycus RFL-PMX, Raycus RFL-PQB, GZTech YFPN series and 
compatible laser types. Connection between E1701dock and laser is done mainly via a 1:1 D-SUB25 
cable. The connector provides the following pinout:

Pin Description

Pin Description

1 LP8_0 laser power signal, CMOS, max 8mA

14 GND

2 LP8_1 laser power signal, CMOS, max 8mA

15 Not connected

3 LP8_2 laser power signal, CMOS, max 8mA

16 DIn6 laser alarm pin 16, available at DIn6 of 

Digi I/O extension only when jumper 
„DIn6/ER16“ is set (refer to description 
below)

4 LP8_3 laser power signal, CMOS, max 8mA

17 Not connected

5 LP8_4 laser power signal, CMOS, max 8mA

18 MO main oscillator signal, CMOS, max 8mA

6 LP8_5 laser power signal, CMOS, max 8mA

19 LaserGate power amplifier signal, CMOS, max 

14mA

49

background image

7 LP8_6 laser power signal, CMOS, max 8mA

20 LaserA 5V pulse repetitive signal, CMOS, max 

14mA

8 LP8_7 laser power signal, CMOS, max 8mA

21 DIn7 laser alarm pin 21, available at DIn7 of 

Digi I/O extension only when jumper 
„DIn7/ER21“ is set (refer to description 
below)

9 LP8 Latch laser power latch, CMOS, max 8mA 22 LaserB used to switch the pilot laser, CMOS, 

max 14mA

10 GND

23 Emergency input, connected to screw 

connector (10), has to be pulled to HIGH for 
different laser types to enable operation

11 DIn5 laser alarm pin 11, available at DIn5 of 

Digi I/O extension only when jumper 
„DIn5/ER11“ is set (refer to description below)

24 Not connected

12 Not connected

25 Not connected

13 Not connected

The signals on this connector are available only when LP8 extension and optionally Digi I/O extension 
is used.

6.

YAG/CO

2

 laser connector

This is a connector for direct connection to laser. A connection can be established using a standard 1:1 
D-SUB-cable. This connector provides the following pinout which is typically to most common YAG or 
CO

2

 lasers:

Pin Description

Pin Description

1 Not connected

14 Not connected

2 Not connected

15 Not connected

3 GND

16 Not connected

4 Emergency input, connected to screw 

connector (10) and has to be pulled to HIGH 
for different laser types to enable operation

17 GND

5 GND

18 GND

6 GND

19 GND

7 Shutter control, this pin is connected to 

DOut7 of the Digi IO extension

20 LaserB first pulse killer signal (FPK/QKILL for 

YAG lasers) or pilot laser output (for CO2 
lasers), CMOS, max 14mA

8 GND

21 AOut1 power control, analogue signal in range 

0..10V, max 15mA

9 AOut0 frequency control, analogue signal in 

range 0..5V, max 15mA; this signal is 
hardware-divided by 2 comparing to the 
original AOut0

22 LaserA 5V output, CMOS, max 14mA

10 GND

23 MO used to switch the pilot laser, CMOS, max 

8mA

11 GND

24 LaserGate non-inverted/high-active laser-on 

signal, CMOS, max 14mA

12 LaserGate inverted/low-active laser-on signal, 

CMOS, max 40mA

25 LaserA negative +-5V output of differential 

PWM signal (PWM-, also connected to shield 
of BNC-connector/9)

13 LaserA positive +-5V output of differential 

PWM signal (PWM+, also connected to core of 
BNC-connector/9)

The signals on this connector are available only when E1701D and/or LP8 extension and optionally Digi 
I/O extension is used.

7.

Start/Stop input connector

50

background image

This connector can be used only together with E1701D controller board and provides easy access to 
the ExtStart and ExtStop input pins (as described in section “6.1.9 Laser/Scanner Signals”). The 
connector requires a JST PH3P type plug and comes with following pinout:

1 2 3

1 – ExtStart input
2 – ExtStop input
3 - +5V output to be used with ExtStart and ExtStop

8.

MOPA alarm signal jumpers

These jumpers can be set when a MOPA laser is connected via (5) and the alarm feedback signal of this 
laser has to be used. For each of the lasers alarm lines that is intended to be read back, the related 
jumper has to be set (for details please refer to the pinout of connector 5 above and the manual of your 
laser).
Starting with hardware version 1.4 a fourth jumper is available for these laser types that provide an 
other error signal via pin 12 of the laser connector. This jumper is a solder jumper which can be found 
on bottom side of the E1701dock (marked in blue in image above) and which is named as “ER12 DIn4”.
PLEASE NOTE: when a jumper is set here, the related digital input of the Digi IO extension can’t be 
used as input any more! Doing so can cause a short-circuit and may damage the scanner controller 
card, the E1701dock and/or the external equipment feeding a signal into DIn5/DIn6/DIn7.
Reading back the laser alarm signals requires the Digi IO extension

9.

BNC-connector for PWM/tickle-signal

It provides a differential +-5V LaserA signal which is also available as PWM+/PWM- at the D-SUB25 
connector (pins 13 and 25 of connector 6) and which can be used for all PWM-controlled lasers such as 
YAG or CO

2

10.

Power supply and enable signal connector

This connector can be used to supply power to a connected XY2-100/XY3-100 scanhead (E1701D 
only) and to apply an enable signal to a connected laser (E1701A and E1701D). It has following pinout:

Pin Name Description

5

-30V

Power supply to scanhead, to be used only with E1701D controller board, is directly 
connected to pins 9, 10 and 22 of (4); this input voltage does 

NOT

 supply the controller 

board

4

GND

Common and scanhead ground, is directly connected to pins 11, 23 and 24 of (4)

3

+30V

Power supply to scanhead, to be used only with E1701D controller board, is directly 
connected to pins 12, 13 and 25 of (4); this input voltage does 

NOT

 supply the 

controller board

2

5V

5V output from scanner controller card, can be used e.g. to feed EMRG input (e.g. via 
contact of a relay). Please note: The “5V” pin of this screw connector is not allowed to be 
used for supplying power to any other peripherals.

1

EMRG Emergency/enable input for lasers, this pin is directly connected to pin 4 of YAG/CO

2

 

connector (6) and pin 23 of MOPA connector (5).

51

background image

In case the three inputs 3, 4 and 5 are connected to a bipolar power supply providing +-12..+-30V to 
power the connected scanhead, the input voltage is feed to the scanhead directly via the 
XY2-100/XY3-100 connector but not to the scanner controller card. Here the input voltage has to be 
equal to the voltage required by the scanhead (typically +-15V or +-24V). Power supply needs to 
provide 1A plus current required for connected scanhead.

When no power supply with symmetric/bipolar outputs is available, it is possible to combine two 
standard power supplies. Here GND of the first power supply has to be connected with +V of the 
second power supply and with the GND-screw-connector of E1701dock according to following 
scheme:

ATTENTION: When connecting wires to the screw terminals, do not transmit any force to the PCB 
where the green connector is soldered at! While screwing tight the wires, hold the connector by hand 
to catch the force but 

do not hold the PCB only!

11. Starting with hardware version 1.4, on bottom side (marked in blue) there is a solder jumper “JP17” 

which applies +5V to pin 17 of the MOPA laser connector when closed. This jumper should be closed 
ONLY when the connected laser expects a voltage input at this pin in order to operate some internal 
functions.
ATTENTION: Closing this pin when the connected laser does not expect this voltage input may cause 
irreversible damage to the hardware!
Right beside the solder jumper there is a pinhole which can be used to solder in a wire 

when the solder 

jumper is not closed

. This pinhole, named as P17, is directly connected to pin 17 of the MOPA D-

SUB25 connector. It can be used to apply any other, custom signal to that pin (depending on what the 
laser expects here).
ATTENTION: applying any other signal to P17 while JP17 is closed may cause a short circuit with the 
5V rail of the controller and may cause irreversible damage to the hardware!

When you are unsure about the usage of the JP17 solder jumper and/or the P17 wire soldering point, 

please contact HALaser Systems first!

6.6.2 E1701dock Wiring

The E1701dock can be mounted on top of a E1701-stack using hex-stands or distance bolts like shown in 
picture below. There E1701D is mounted on an E170Xbase (optional) to make use of a DIN-/C45-rail while the 
E1701dock is placed on very top. Connection between E1701 controller and its extension boards is done via 
short, 1:1 flat belt cables:

52

background image

Following all possible configurations are listed including the flat-belt cables that are needed for connection to 
E1701dock, given cable lengths are valid when E1701dock is placed on top:

Configuration

Supported Lasers

Wires E1701A

Wires E1701D

Baseboard only

CO

2

/YAG/all PWM-

driven laser types

Not supported

1x 1:1 26-pin flat-belt 
cable, 5 cm length from 
baseboard to E1701dock 
(white connectors)

Baseboard plus
LP8 Extension

Fiber/MOPA/CO

2

/

YAG/all PWM-driven 
laser types

1x 1:1 26-pin flat-belt 
cable, 4,5 cm length from 
LP8 Extension to 
E1701dock

1x 1:1 26-pin flat-belt 
cable, 4,5 cm length from 
LP8 Extension to 
E1701dock

1x 1:1 26-pin flat-belt 
cable, 7,5 cm length from 
baseboard to E1701dock 
(white connectors)

Baseboard plus
Digi I/O Extension

XY2-100 output on 
D-SUB25

Not supported

1x 1:1 26-pin flat-belt 
cable, 6,5 cm length from 
baseboard to E1701dock 
(white connectors)

Baseboard plus

Digi I/O Extension 
plus
LP8 Extension

Fiber/MOPA with 

error feedback, 
CO

2

/YAG/all PWM-

driven laser types

1x 1:1 20-pin flat-belt 

cable, 3,5 cm length from 
Digi I/O Extension to 
E1701dock (only needed 
when MOPA error 
feedback is required)

1x 1:1 26-pin flat-belt 
cable, 6 cm length from 
LP8 Extension to 
E1701dock

1x 1:1 20-pin flat-belt 

cable, 3,5 cm length from 
Digi I/O Extension to 
E1701dock (only needed 
when MOPA error 
feedback is required)

1x 1:1 26-pin flat-belt 
cable, 6 cm length from 
LP8 Extension to 
E1701dock

1x 1:1 26-pin flat-belt 
cable, 9 cm length from 
baseboard to E1701dock 
(white connectors)

53

background image

6.7 E170Xbase

The E170Xbase extension is a mounting help for easy installation on DIN rails/C45 rails and other possibilities 
of mechanical integration into machines:

RED

 – mounting positions for DIN/C45 rail locks/DIN/C45 rail adapters (bottom side). Pairs of locks can be 

mounted in one of 2 possible orientations. Here locks of type Phoenix Contact 1201578 or similar can be used. 
With these locks the board then can be clamped on a DIN/C45 rail.

BLUE

 – mounting holes for the E1701A or E1701D scanner controller card on top of the E170Xbase in one of 

two possible orientations. These holes are symmetrically arranged so that the board can be mounted by 180 
degrees rotated. Here hex stands/distance bolts with M3 threads (or similar) can be screwed in where the 
controller card is mounted on top.

GREEN

 – optional; mounting holes for a HALdrive converter board (top side) instead of an E1701X scanner 

controller card, here hex stands/distance bolts with M2 threads (or similar) can be screwed in where the 
HALdrive is mounted on top.

Mounting procedure for E170Xbase:

1. Identify suitable positions (

RED

) for two DIN/C45 rail locks and mount them on bottom side (two or 

three screws from top side into the lock on bottom)

2. Mount hex-stands or distance bolts in at least four of the given mounting holes (

BLUE

).

3. Mount E1701A or E1701D on top of these hex-stands/distance bolts
4. Clamp the board on your DIN/C45 rail

Without the DIN/C45 rail clamps the board also can be used as top-cover for the E1701A or E1701D.

54

background image

7 Quick Start into E1701A/D

Following a few steps are described that give users the possibility to quick start into usage of E1701A/D 
scanner controller. It makes use of BeamConstruct and the (slow) USB connection. For this quick start manual it 
is assumed correct wiring of the controller is already done according to the description above. For more 
detailed information about BeamConstruct usage please also refer to quick start manual from 

https://halaser.systems/download/manual_quickstart.pdf

 and to full user manual which is available at 

https://halaser.systems/download/manual.pdf

.

To start with E1701A/D controller:

1.

SECURITY CHECK:

 The following steps describe how to set up E1701A/D scanner controller card and 

how to control laser equipment with them. Thus all laser safety rules and regulations need to be 
respected, all required technical security mechanisms need to be available and active prior to starting 
with it.

2. Install latest software version from 

https://halaser.systems/download.php

 – for Windows this package 

contains all required drivers, for Linux no separate drivers are needed.

3. Connect E1701A/D controller via USB. For E1701A external +-15V power supply is required (as 

described above).

4. Now the Alive-LED should light up and then start blinking after some time. When this does not happen, 

please turn power off, check if the microSD-card is placed correctly and then try again.

5. Evaluate the serial interface the controller is connected with – for Windows the Device Manager (can 

be found in Control Panel) will list a new COM-port (e.g. “COM3”); for Linux type “dmesg” in console to 
find out to which interface it was connected with (typically “/dev/ttyACM0”).

6. Start BeamConstruct laser marking software.
7. Go to menu “Project”   “Project Settings...”, then tab-pane “Scanner”.

8. Now you can either select “E1701A” as scanner controller card or can go with “E1701D” which is 

selected and preconfigured by default. If none of both is selected, please choose the appropriate 
scanner controller in the related combo box.

9. Press the “Configure”-button to get into the settings dialogue for E1701A/D plug-in.
10. Enter the serial interface name in field “IP/Interface” (e.g. “COM3” or “/dev/ttyACM0”).
11. Leave everything with “OK”.
12. Draw some geometries as described in “BeamConstruct Quick Start Manual”.
13.

SECURITY CHECK:

 Next the scanner controller card will be accessed for the first time. That means it is 

opened and initialised and all connected equipment may start working now. Thus it is very important to 
ensure all security regulations are met and nobody can be injured and no damage can be caused also in 
case laser output or other motion starts spontaneously and unexpectedly!

14. Press “F2” or go to menu “Process”   “Mark” to open the mark dialogue.

15. Start marking by pressing the yellow button with the laser-symbol

55

background image

8 Command Interface

The commands described in this section require firmware version 12 or later.
When E1701 scanner card is connected via USB and the USB-connection is NOT used for transmitting marking 
information, it can be used to send control commands to the card. Some of them are independent of the current 
operating mode and some of them can be used only in case the controller is operating in stand-alone mode.
Starting with firmware version 15 control commands can also be sent via Telnet using Ethernet connection. 
Here a Telnet-client has to connect to port 23 using the IP of the scanner controller. This Telnet client should 
work in passive mode. So when E1701 scanner card is connected via Ethernet and the Ethernet-connection is 
NOT used for transmitting marking information, it can be used to send control commands to the card. Some of 
them are independent of the current operating mode and some of them can be used only in case the controller 
is operating in stand-alone mode.
Such a control command always consists of ASCII-text. An appropriate client has to connect to the serial port 
(COMx for Windows and /dev/ttyACMx for Linux where “x” is a number identifying the specific serial interface 
or TCP/IP port 23). As soon as the connection is established, commands can be sent to the card. All commands 
come with following structure:

cxxxx <parameter(s)>

The commands always start with character “c”. Next four characters identify the command itself. Depending on 
the command one or more optional or mandatory parameters may follow. The command always returns with an 
"OK" or with an error.

8.1 General Commands

The following commands can be used in all scenarios, they do not depend on a specific operation mode of the 
card. Nevertheless it is recommended to not to send commands excessively during card is marking, to not to 
influence marking operation.

cvers

"

vers

ion" – return version information of the controller card. This command returns a version string 

specifying version of hard- and firmware in style 

vFF-H

 where “

FF

” is the version of the firmware and “

H

” 

specifies the hadware revision of the controller.

cecho <0/1>

"

echo

" – when typing commands in a serial console communicating with the controller, all the typed 

characters are echoed, means they are sent back to the host so that a user can see what is typed. This may be an 
unwanted behaviour when an application communicates with this interface. Using this command the serial 
echo mode can be turned off (parameter 0, only return values are sent back) or on (parameter 1, all data are 
sent back). When called with no parameters, the current echo mode value is returned.
Example: 

cecho 0

 – turn off echo mode

cgbds

"

g

et 

b

oar

ds

" – get an identifier value for the connected boards. This command returns a decimal 

number which depends on the connected extension boards and can be used to identify them. The returned 
value is a sum consisting of the following numbers:
1 – XY2-100/XY3-100 baseboard (E1701D) is available
2 – analogue baseboard (E1701A) is available
256 – LP8 Extension Board is available
512 – Digi I/O Extension Board is available

cglog

"

g

et 

log

line" – returns a single logging line. This command has to be called repeatedly until an error is 

returned to get logging information from the controller. On each call of this function one logging line is 

56

background image

returned. When "

cglog

" isn't used for a longer time it may be possible the internal log-buffer has overrun. In 

this case "

cglog

" will not return all log information, previous log data may be overwritten.

cgbsr

"

g

et 

b

oard 

s

e

r

ial number" – returns the serial number of the card. This number is an unique, internal 

value that is used e.g. to identify a controller on host PC when more than one scanner card is used.

8.2 Stand-Alone Control Commands

Following commands are useful in case scanner controller is operating in stand-alone mode where marking data 
are loaded from microSD-card using special EPR-fileformat.

cstop

"

stop

" – stop marking as fast as possible. A running marking operation is stopped and LaserGate is 

turned off.

chalt <0/1>

"

halt

" – halts or continues the processing and output of marking data. When given parameter is equal 

to 1, marking is stopped next time the laser is off but no vector data are dropped. On continue (parameter equal 
0) controller continues processing at the point where halt occurred. When marking is stopped with 

cstop

 the 

halt-condition is cleared too, means on next transmission of new marking data they are processed without the 
need to explicitly continue operation by calling 

chalt 0

.

cstrt

"

st

a

rt

" – start marking operation. This command can be called only when no marking operation is 

running and when a valid project (.epr) file was loaded. In this case the currently loaded project is marked once.

ctrig

"

trig

ger" – send an external trigger signal by software. When scanner card is in state "marking" but 

waiting for an external trigger, this command releases this trigger. So behaviour is the same like a rising edge on 
the ExtStart input of the controller card.

cstat

"

stat

e" – return the current state of the card. This command returns one of the following texts 

identifying the operational state:

marking

 – card is processing some marking data currently, means either actively outputting them or 

waiting for an external trigger to start marking

stand-alone

 – controller is in stand-alone mode

idle

 – card is waiting and not marking

waiting

 – a project file was loaded, is ready for execution and waits for a trigger signal (either via 

ExtStart input or via command "

ctrig

")

cgtin

"

g

et 

t

rigger 

in

puts" – get the state of the external input signals. This command is not related to digital 

inputs of Digi I/O extension board but provides information regarding signal state of external start and stop. It 
returns a value that specifies which of these input signals are currently HIGH:

0 – ExtStart and ExtStop are both LOW
2 – ExtStart is HIGH
4 – ExtStop is HIGH
6 – ExtStart and ExtStop are both HIGH

cscor <idx>

57

background image

s

et 

cor

rection” - specifies a new index for a previously loaded correction file (see description of 

configuration parameter 

corrtable

 in section “6.1.8 microSD-Card” above). The parameter 

idx

 can be a 

value in range 0..15 and needs to correspond to a previously loaded correction table. The newly set correction 
table applies to all vector data which are processed after this call. Thus it is recommended to use it only when 
marking operation was stopped – elsewhere it is not predictable how many vector data already have been pre-
calculated with the previous correction table and starting with which vector data the new correction file is 
used.
When a 

idx

-value is set which corresponds to no correction file data, no more correction is performed on 

vector data.
This command requires firmware version 33 or newer.

cgcor

g

et 

cor

rection” - this command is the counterpart of 

cscor

 and displays the index number of the 

currently used correction file 
This command requires firmware version 33 or newer.

clepr <path>

"

l

oad 

epr

" – loads an EPR stand-alone file from microSD card for outputting it on next marking 

operation. This command can be executed in stand-alone mode only.

When operating in stand-alone mode “idxselect”, the command expects a number as parameter which specifies 
the index file to be loaded.
When operating in stand-alone mode “ioselect” or “iohaltedloop”, the command is not supported.
When operating in any other stand-alone mode, the command expects the path to the file to be loaded as 
parameter. Since this is the only parameter, no quotes are allowed for the pathname. The pathname itself has to 
be in format

0:/filename.epr

where 

0:/

 specifies the microSD-card and 

.epr

 is the standard extension of E1701 stand-alone marking data 

files (this name is a shortcut for "

E

1701 

Pr

ocessing Data"). During loading the ready-for-marking output signal 

is turned off and it is turned on only in case the file could be loaded successful (please refer to related section 
above).
Examples: 

clepr 0:/test.epr

 – loads a stand-alone file "test.epr" from microSD card

cgepr

g

et 

epr

” – returns the name of the currently loaded stand-alone file or an error “no file specified” when 

no file is loaded.

cdepr <path>

"

d

elete 

epr

" – deletes an EPR stand-alone file and all related, additional files from microSD card. This 

command can be executed in stand-alone mode only.

When operating in stand-alone mode “idxselect”, the command expects a number as parameter which specifies 
the index file to be loaded.
When operating in stand-alone mode “ioselect” or “iohaltedloop”, the command is not supported.
When operating in any other stand-alone mode, the command expects the path to the file to be delete as 
parameter. Since this is the only parameter, no quotes are allowed for the pathname. The pathname itself has to 
be in format

0:/filename.epr

where 

0:/

 specifies the microSD-card and 

.epr

 is the standard extension of E1701 stand-alone marking data 

files (this name is a shortcut for "

E

1701 

Pr

ocessing Data"). Deleting is done asynchronously, so the returned 

“OK” only verifies the command was accepted. Successful deletion of the file can be assumed after 0,5 seconds.
Examples: 

cdepr 0:/test.epr

 – deletes a stand-alone file "test.epr" from microSD card. When additional 

files 

test.dat

 (which may contain related dynamic data) and 

test.ser

 (which may hold serial number 

information) exist, they are deleted by this command too.
This command requires a firmware version 43 or newer.

58

background image

ctlxy <x> <y> <z>

t

urn on 

l

aser at given 

XY

Z position” – lets the scanner move to a specific position and turns on the laser as long 

as ExtStart is HIGH
This command requires stand-alone mode “auto”. It can be used to turn on the laser as long as the ExtStart input 
is at HIGH. So using this function some externally controlled drilling or cutting operations are possible. As 
parameter it expects the X, Y and Z coordinate positions to jump to (in unit 26 bits). The sequence of commands 
to use this function are as follows:

unload the current project file (“e.g. by calling “

clepr 0:/notexist.epr

”)

call “

ctlxy

” together with the 26 bit XYZ position the scanner has to jump to   the parameters used 

for jumping are the ones out of the last EPR file executed

the state-flag 

E170X_CSTATE_SAC_CTLXY

 is set

the state-flag 

E170X_CSTATE_SAC_READY

 is set as soon as the scanner has arrived at the specified 

XYZ position, this happens together with the output DOut0:

wait until DOut0 goes to HIGH   this output signals the specified XYZ position was reached and the 

controller is able to turn on the laser now

pull ExtStart to HIGH   the laser is turned on within 1 usec at max using the laser parameters out of 

the last EPR file executed

as long as ExtStart is HIGH, the laser is turned on and DOut1 is at HIGH and the state-flag 

E170X_CSTATE_SAC_MARKING

 is set

pull ExtStart to LOW as soon as the laser has to be turned off   both DOut0 and DOut1 are pulled to 

low, the laser is turned off within 1 msec at max and all 

E170X_CSTATE_SAC_

-flags are reset

now the complete sequence has ended ad the 

ctlxy

-command has elapsed. To turn on the laser via 

ExtStart again, a new command 

ctlxy

 has to be issued

Example:

ctlxy 33554432 33554432 33554432

Starts a ctlxy-sequence as described above with the scanner moved to the centre position.

This command requires firmware version 40 or newer.

csbuf <idx> <path>

s

et 

buf

fer” - this command works similar to the configuration parameter “iobuff” and can be called in 

stand-alone modes “ioselect” and “idxselect”. It can be used to preload EPR stand-alone data files into memory 
so that they can be accessed faster and without additional accesses of the SD card. The first parameter 

<idx>

 

is mandatory and specifies the slot the EPR file has to be loaded to. Different to parameter “iobuff” where the 
slot number is given automatically and where the index value can be in range 1..255, here the slot number and 
the index number are always the same and are in range 1..20. So only the first 20 index values can be used 
together with this dynamic loading function. When only 

<idx>

 is given, the loaded file is 

0:/<idx>.epr

Optionally also a file name 

<path>

 can be given in format 

0:/file.epr

. In this case the given file is loaded to 

the slot specified by 

<idx>

 and can be accessed with the related index number. After every call to 

csbuf

 the 

command 

cgbuf

 has to be executed repeatedly until it returns -1.

Examples:

csbuf 3

 – loads the file 

0:/3.epr

 from SD-card and stores it in slot number 3 so that it can be accessed 

either via “

clepr 3

” (in stand-alone mode “idxselect”) or via a digital input pattern at the Digi I/O Extension 

representing a 3 (in stand-alone mode “ioselect)

csbuf 5 0:/markme.epr

 – loads the file 

0:/markme.epr

 from SD-card and stores it in slot number 5 so 

that it can be accessed either via “

clepr 5

” (in stand-alone mode “idxselect”) or via a digital input pattern at 

the Digi I/O Extension representing a 5 (in stand-alone mode “ioselect)

This command requires firmware version 36 or newer.

cgbuf

g

et processed 

buf

fer” - returns the index number of the buffer that is currently processed by a 

previous call to 

cgbuf

. As long as this command returns a value greater than -1, no other calls to 

csbuf

 are 

59

background image

allowed. The returnend number specifies the index/slot number that is currently filled with data. When 

cgbuf

 

returns -1, the loading operation has been finished.

This command requires firmware version 36 or newer.

cjsor <percentage>

j

ump 

s

peed 

o

ver

r

ide” – changes the speeds of all jump speed values by the given factor. Here 

parameter 

percentage

 has to be given in unit 1/100%. The override-value specified by this command remains 

active until it is set back to normal value by calling “

cjsor 10000

” or until the controller is rebooted. The 

value given here is active for all processed data including host-controlled marking projects and stand-alone files 
loaded from microSD card.
This command requires firmware version 25 or newer.

cmsor <percentage>

m

ark 

s

peed 

o

ver

r

ide” – changes the speeds of all mark speed values by the given factor. Here 

parameter 

percentage

 has to be given in unit 1/100%. The override-value specified by this command remains 

active until it is set back to normal value by calling “

cmsor 10000

” or until the controller is rebooted. The 

value given here is active for all processed data including host-controlled marking projects and stand-alone files 
loaded from microSD card.
This command requires firmware version 25 or newer.

cpwor <factor>

p

o

w

er 

o

verw

r

ite” - this command modifies the actual power by using the given factor (in unit 1/100%). 

All operations make use of the changed power until a factor of 10000 is set or until the controller is restarted. 
This is true for both, stand-alone applications where an .EPR-file is loaded from microSD-card and for host-
controlled marking operations (via libe1701 or BeamConstruct).
This command influences following methods of setting laser power:

pulse width, here user has to ensure the resulting pulse width is smaller than the period of the related 
frequency, elsewhere the output will be a continuous signal

LP8 laser port

AOut0 and AOut1 analogue outputs

cfror <factor>

fr

equency 

o

verw

r

ite” - this command modifies the actual frequency by using the given factor (in unit 

1/100%). All operations make use of the changed power until a factor of 10000 is set or until the controller is 
restarted. This is true for both, stand-alone applications where an .EPR-file is loaded from microSD-card and for 
host-controlled marking operations (via libe1701 or BeamConstruct).
This command is not available for lasermodes CO

2

 or YAG

This function requires firmware version 42 or newer.

cpuor <factor>

pu

lse-width 

o

verw

r

ite” - this command modifies the actual pulse-width by using the given factor (in 

unit 1/100%). All operations make use of the changed pulse-width until a factor of 10000 is set or until the 
controller is restarted. This is true for both, stand-alone applications where an .EPR-file is loaded from 
microSD-card and for host-controlled marking operations (via libe1701 or BeamConstruct).
This command is not available for lasermodes CO

2

 or YAG, there the pulse-width is changed via command 

cpwor

.

This function requires firmware version 42 or newer.

cgmtx

g

et 

m

atri

x

” - return the four elements of the 2x2 output matrix. The members of the matrix are 

returned as four integers with a factor of 1000. So returned values of “1200 0 0 1200” are equal to a matrix

1,2 0,0

60

background image

0,0 1,2

Which itself defines a scale factor of 1,2 in both, X and Y direction of the output.
This function requires firmware version 38 or newer.

csmtx <m11 m12 m21 m22>

s

et 

m

a

t

ri

x

” - set a 2x2 matrix which is used for the global output of the scanner card. This means, the 

values applied here influence the whole project which is currently be marked. Such a 2x2 matrix can be used to 
modify the X- and Y-scale, the rotation and the X- and Y-slant of the output. The matrix members m11, m12, 
m21 and m22 have to be given as integers which represent the matrix elements multiplied by 1000.
As soon as a custom matrix is set via this command, all matrix values out of a loaded EPR file are ignored and 
only the matrix-values currently set are used. This includes gain and rotation correction settings which may be 
set in such an EPR file.
Example: 

csmtx 996 -87 87 996

 – rotate the output by 5 degrees; these values are generated out of the 

unity matrix {1000, 0, 0, 1000} which was multiplied with the rotation matrix {cos(5)*1000, -sin(5)*1000, 
sin(5)*1000, cos(5)*1000}
This function requires firmware version 38 or newer.

cswaf <factor>

Sets a factor in unit bits per mm that is used with all commands that specify some distance or position (such as 

cspof

). When this factor is set to a proper value, the given positions/distances can be specified in unit um 

instead of bits. When a factor of 1000 is specified, the functionality is reset back to the default behaviour where 
position values have to be given in unit bits.
This parameter requires a firmware version 45 or newer.

cspof <x y z>

s

et 

p

osition 

of

fset” – sets a n position offset for the complete output. This function expects three parameters 

for the offset to be set in X, Y and Z-direction. The values to be given here are signed 26 bit, means they need to 
be in range -33554431..33554432. To reset the offset for one or more directions, a value of 0 has to be set.
Please note: this offset is set prior to the matrix calculations which may be done when a custom output matrix is 
set using command 

csmtx

. Resulting from that, the matrix calculation also applies to the offset defined here. So 

when the matrix e.g. defines a scale factor for the output, the offset values specified here are scaled by the same 
factor.
Example: 

cspof -16777216 0 0

 – shift the output by a quarter of the whole available working area to the 

left.
This function requires firmware version 42 or newer.

cstxt <"elementname"> <"text">

"

s

et 

t

e

xt

" – set a new text value to an element in currently loaded project. The parameters for this 

command both have to be given with quotes ("). Setting a text is possible only for dynamic elements like 
Datamatrix barcodes or texts. Here 

"elementname"

 is the name of the element that has to be modified (this is 

the same name like shown in element tree of BeamConstruct) and the new text to be set. The 

"text"

 itself can 

be a format string as used within BeamConstruct when a serial number input element is involved
Example: 

cstxt "Barcode 1" "Hello :-)"

 - sets a new text "Hello :-)" for the element with name 

"Barcode 1"

cgtxt <"elementname">

"

g

et 

t

e

xt

" – gets the currently used text value of an element in loaded project. The parameter for this 

command has to be given with quotes ("). Getting a text is possible only for dynamic elements like Datamatrix 
barcodes or texts.

Example: 

cgtxt "Barcode 1"

 – gets the text from the element with name "Barcode 1"

61

background image

csser <"elementname"> <cnt>

"

s

et 

ser

ial number" – sets a new serial count value to an element in currently loaded project. The 

element name for this command has to be given with quotes ("). Setting a new count is possible only for dynamic 
elements like Datamatrix barcodes or texts that have a serial number input element assigned. Setting the value 
has to be handled with care, here every value can be specified independent if it fits to possibly exiting beat 
count values.
Example: 

csser "Text 2" 42

 – set a new serial number count value 42 for element with the name "Text 2"

cgser <"elementname">

"

g

et 

ser

ial number" – gets the current serial count value from an element in loaded project. The 

element name for this command has to be given with quotes ("). Getting the count is possible only for dynamic 
elements like Datamatrix barcodes or texts that have a serial number input element assigned. 

ciser <"elementname">

"

i

ncrement 

ser

ial number" – increments the current serial count value of an element according to its 

serial number parameters. The element name for this command has to be given with quotes ("). Incrementing 
the count is possible only for dynamic elements like Datamatrix barcodes or texts that have a serial number 
input element assigned. This function is more secure than forced setting of a new count value with "csser" since 
it can't violate the counting rules.

cdser <"elementname">

"

d

ecrement 

ser

ial number" – decrements the current serial count value of an element according to its 

serial number parameters. The element name for this command has to be given with quotes ("). Decrementing 
the count is possible only for dynamic elements like Datamatrix barcodes or texts that have a serial number 
input element assigned. This function is more secure than forced setting of a new count value with "csser" since 
it can't violate the serial number counting rules.

crser <"elementname">

"

r

eset 

ser

ial number" – resets the current serial count value of an element to its start-value (according 

to its serial number parameters). The element name for this command has to be given with quotes ("). Resetting 
the count is possible only for dynamic elements like Datamatrix barcodes or texts that have a serial number 
input element assigned. This function is more secure than forced setting of a value with "csser" since it can't 
violate the predefined serial number parameters and automatically uses the correct reset value.

cstim <seconds>

"

s

et 

tim

e" – this command sets the system time to the value specified with the parameter. Here the 

number of seconds have to be specified that have elapsed since 01.01.1970 at 00:00:00. After sending this 
command the controller card operates at the given time. The time value is lost after next power cycle and has to 
be set again.
Example: 

cstim 1420113600

 – set the internal time of E1701 controller to 01.01.2015 12:00:00, here 

1420113600 represets the number of seconds that have been elapsed between 01.01.1970 00:00:00 and 
01.01.2015 12:00:00

crtim

"

r

etrieve 

tim

e" – this command schedules time retrieval from an SNTP server asynchronously. It always 

returns with "OK" since the command is scheduled for execution during next working cycles. To use this 
command, controller has to be configured with IP, netmask, gateway and SNTP server IP correctly and needs to 
be able to access this SNTP server from its position in network. For details please refer to description of 
configuration parameters in section about microSD card above.

cgtim

"

g

et 

tim

e" – returns the current time of the board in number of seconds that have elapsed since 

01.01.1970 at 00:00:00. After powering up the board and before a valid time has been set, this value is 
undefined.

62

background image

cftim

"

g

et 

f

ormatted 

tim

e" – returns the current time of the board as formatted string in style DD.MM.YYYY 

hh:mm:ss. After powering up the board and before a valid time has been set, this value is undefined.

cstyr <year>

"

s

et 

t

ime 

y

ea

r

" – sets the year of the current system time to the value given as parameter. This value 

has to be in range 1900..2038

cstmo <month>

"

s

et 

t

ime 

mo

nth" – sets the month of the current system time to the value given as parameter. This 

value has to be in range 1..12 according to the number of the month.

cstdy <day>

"

s

et 

t

ime 

d

a

y

" – sets the day of the current system time to the value given as parameter. This value has 

to be in range 1..28, 1..30 or 1..31 according to the length of the current month. To avoid invalid combinations it 
is recommended to set the month (using command 

cstmo

) before setting the day.

csthr <hour>

"

s

et 

t

ime 

h

our" – sets the hour of the current system time to the value given as parameter. This value 

has to be in range 0..23.

cstmi <minute>

"set time minute" – sets the minute of the current system time to the value given as parameter. This 

value has to be in range 0..59.

cstsc <second>

"

s

et 

t

ime 

s

e

c

ond" – sets the second of the current system time to the value given as parameter. This 

value has to be in range 0..59.

cgsta

"

g

et 

s

erial s

ta

te" – this command applies only when working in stand-alone mode with dynamic serial 

number data that change on every mark operation. It returns information if the state of serial numbers has 
changed and is not yet saved (in this case "pending" is returned) or if they have been saved and therefore do not 
get lost when power is turned off now ("saved" is returned in this case).

cssta

"

s

ave 

s

erial s

ta

te" - this command applies only when working in stand-alone mode with dynamic serial 

number data that change on every mark operation. When it is called, a command to save the current state of 
serial numbers is enqueued and will be processed as soon as controller is able to store these data. So when this 
command returns with "OK" that doesn't necessarily means the serial number states are saved now. The 
current save state still has to be checked by calling 

cgsta

 after 

cssta

 has been issued.

crrrr

"

r

eboot" – perform a warm reboot of the hardware and restart the firmware. Reboot is done 

immediately, means this command does not return anything but connection to the board will be interrupted as 
soon as it has been sent.
This command requires firmware version 19 or newer.

63

background image

8.3 Hardware Commands

These commands can be used to access hardware signals directly. When these hardware outputs are set or 
unset while a marking operation is running, they may have no effect as they may be overridden immediately. 
Thus it is recommended to execute them only when the controller card is idle and no other operations are in 
progress. But also in this case, when a hardware output is set to a specific state, any operation (especially 
marking cycle) that is executed afterwards, may override that specific state-changes. Following hardware-
specific commands are supported:

cginp

"

g

et 

inp

ut" – get the current state of the digital inputs (in case a Digi I/O extension is available). The 

input state is returned as a decimal number representing the bitpattern at the inputs. So when e.g. a value "15" 
is returned, this means the lower four inputs are set to HIGH while the upper ones are at LOW level

csout <value>

"

s

et 

out

put" – set the state of the digital outputs (in case a Digi I/O extension is available). The output 

to be set is specified as a decimal number representing the bitpattern. When no parameter is given, the 
behaviour is undefined.
Example: 

csout 128

 – set DOut7 at the Digi I/O extension board to HIGH while all others stay at LOW

cslgt <value>

s

et 

L

aser

G

a

t

e” – set the state of the LaserGate output either to HIGH (value is set to 1) or to LOW (value is set 

to 0).
This command requires firmware version 42 or newer.

cslmo <value>

s

et 

MO

” – set the state of the main oscillator output either to HIGH (value is set to 1) or to LOW (value is set to 

0).
This command requires firmware version 42 or newer.

cslp8 <value>

s

et 

LP8

” – set the state of the LP8 output port to the value given as parameter. Here value is allowed to be in 

range 0..255, the related bits of the LP8 output are set according to the bitpattern of the specified number.
This command requires firmware version 41 or newer.

8.4 Mark Control Commands

The following section describes commands that can be used to send marking data (including vector data and 
laser/scanner parameters) to the controller. They are available with all firmware version 15 or newer. These 
commands can be mixed with the commands described above but have a different structure:

they always start with a character "d"

the total length of one frame (means one command) is always 14 bytes

they mustn't be terminated with CR/LF, the end of a frame is determined by its size of 14 bytes

they contain binary, means not human-readable data and therefore can't be sent manually

Different to the programming interface (“9.1 E1701 Easy Interface Functions”) mentioned below, this 
possibility to send control and marking data is completely independent from any host operating system and 
from any additional software or libraries. It gives the possibility to send marking data to the card right via some 
binary data which can be sent via Ethernet connection (Telnet) or USB serial interface.

PLEASE NOTE: when using Network/Telnet connection and when switching from a Mark Control Command 
("d"-command) to a general command ("c"-command as described above) it is recommended to completely 
transmit all preceding output before sending a command of other type.

These commands always have the following structure:

64

background image

dCAAAABBBBEEEE

d

 – marks starting point of a frame and identifies a mark control command with a fixed length of 14 bytes 

(including this character)

C

 – 8 bit value that specifies what command has to be executed

AAAA

 – 32 bit little-endian value, it's meaning and usage depends on "C"

BBBB

 – 32 bit little-endian value, it's meaning and usage depends on "C"

EEEE

 – 32 bit little-endian value, it's meaning and usage depends on "C"

It is recommended to collect commands before they are sent to the controller, especially in case Ethernet 
connection is used. In case of TCP/IP the used payload length of a TCP-frame is 1460 bytes which should be 
filled as much as possible in order to avoid additional data transfers. So when sending larger amounts of data to 
the controller, up to 104 command frames should be collected and then sent all together (104 * 14 = 1456 bytes 
which is close to 1460).

From time to time the controller sends back an answer to give back some state information. In case of 
Ethernet/Telnet connection this answer is not sent periodically but as response to a complete block of data sent 
to the card. Since the size of such a block is not specified and depends on the underlying TCP/IP implementation 
(in case of Ethernet connections), no predictions can be made after what amount of data a response frame is 
sent. Thus it is recommended to try to receive such a response frame every time some data have been 
transmitted until at least one frame was received. When host software is idle, it can try to read response frames 
permanently. To trigger transmission of a new response frame, "ping" control command 

0x0A

 can be used (for 

details please refer below).
In case of USB/serial connection this response is sent automatically after every 14 byte frame submitted, so it is 
necessary to always read them in order to avoid overrun of receive buffers.
Such a response frame gives back information about the current operational state of the card and comes in 
following structure:

dRLLLLSSSSIIII

d

 – marks starting point of a response frame with a fixed length of 14 bytes (including this character), this 

character can be used to re-synchronise

R

 – 8 bit value, currently always 0xFF; this value has to be checked for future compatibility, in case it is not 0xFF 

the frame has to be ignored!

LLLL

 – 32 bit little-endian value, here the amount of free command buffer space is returned; sending 

application has to ensure this bufer never overruns, so it is recommended to always leave a space of at least 200 
commands (recommended: 1000), new commands should be sent only when there is more space than this left 
in this buffer

SSSS

 – 32 bit little-endian value, signalling operational state; this calue can consist of following or-

concatenated flags:

0x00000001

 – card is currently marking

0x00000002

 – the external start input is currently HIGH

0x00000004

 – the external stop input is currently HIGH

0x00000008

 – the external start input was set to HIGH after last response frame, this value is set 

only once for every rising edge on this input

0x00000010

 – the external stop input was set to HIGH after last response frame, this value is set 

only once for every rising edge on this input

0x00000080

 – the controller has received some data which may result in a marking operation; 

these data are currently processed but marking has not yet started

0x00000400

 – card is active but currently waiting for an external trigger to continue operation

0x00004000

 – card is active, writing some datat to the microSD card

IIII

 - 32 bit little-endian value, lower 8 bit show the actual state of digital inputs (in case Digi I/O Extension 

Board is a available), the upper 24 bits are reserved for future use.

Currently following mark control commands (identified by the 8 bit hexadecimal value for position "

C

" in a 

frame) can be sent to the controller:

65

background image

Jump to Position

Move to a given coordinate position using the current jump speed and with laser turned off

C = 0x00
AAAA = x-position to move to in range 0..67108863
BBBB = y-position to move to in range 0..67108863
EEEE = z-position to move to in range 0..67108863

Mark to Position

Move to a given coordinate position using the current mark speed and with laser turned on

C = 0x01
AAAA = x-position to move to in range 0..67108863
BBBB = y-position to move to in range 0..67108863
EEEE = z-position to move to in range 0..67108863

Start output

This command has to be called at the end of every marking sequence to ensure marking output really 

starts. This is important in case only a few vectors are sent to ensure marking is started but it is recommended 
to always use this command.
C = 0x02
AAAA = unused, set to 0
BBBB = unused, set to 0
EEEE = unused, set to 0

Wait for external trigger

Set a trigger point to current position of stream; emission of output data will stop until an external 

trigger signal is detected
C = 0x03
AAAA = unused, set to 0
BBBB = unused, set to 0
EEEE = unused, set to 0

Set speed values

Specify the speeds to be used during jump or mark movements (invoked by commands 0x00 and 0x01)

C = 0x04
AAAA = jumpspeed in unit bits per microsecond
BBBB = markspeed in unit bits per microsecond
EEEE = unused, set to 0

Set laser delays

Specify the delays to be used when laser is turned on or off

C = 0x05
AAAA = laser on delay in unit microseconds and in range -10000000..10000000
BBBB = laser off delay in unit microseconds and in range 0..10000000
EEEE = unused, set to 0

Set scanner delays

Specify the delays to be used before and after mark and within a polygon

C = 0x06
AAAA = jumpdelay in unit microseconds
BBBB = markdelay in unit microseconds
EEEE = in-polygondelay in unit microseconds

66

background image

Stop marking

Tries to halt, continue or stop current output depending on the chosen option

C = 0x07
AAAA = stop option:

0 - tries to stop operation as fast as possible and rejects all data that still may be enqueued for 
execution
1 - marking is stopped next time the laser is off but no vector data are flushed, card is still active
2 - controller continues processing at the point where halt occured (requires a previously called 
command 0x07 with stop option 1)

BBBB = unused, set to 0
EEEE = unused, set to 0

Set wobble parameters

Specify the wobble settings to be used for next marking operations

C = 0x08
AAAA = wobble amplitude in X-direction using unit bits and with maximum range of 0..10000000 bits
BBBB = wobble amplitude in Y-direction using unit bits and with maximum range of 0..10000000 bits
EEEE = wobble frequency in unit Hz*100 and in range 1..2500000

Set LP8 outputs

Set LP0..LP7 output pins on LP8 Extension Board

C = 0x09
AAAA - bitpattern to be set on LP0..LP7 output pins, here only lower 8 bits are used.
BBBB = unused, set to 0
EEEE = unused, set to 0

Ping

This command can be used to let the controller send back a state-information. So it can be used to 

check if the card is still operating or not.
ATTENTION: this command should not be sent repeatedly and without any delay! This could cause E1701D 
scanner controller to stall because the massive data transfer has to be handled. So it is recommended to have a 
delay of at least 150 msec between every ping.
C = 0x0A
AAAA - unused, set to 0
BBBB = unused, set to 0
EEEE = unused, set to 0

Set digital outputs

Set DOut0..DOut7 output pins on Digi I/O Extension Board

C = 0x0B
AAAA - bitpattern to be set on DOut0..DOut7 output pins, here only lower 8 bits are used.
BBBB = bitmask specifying which of the bits in AAAA have to be set or cleared, all these bits in AAAA are left 
unchanged, where the corresponding bit in BBBB is 0
EEEE = unused, set to 0

Set lasermode

Specify the laser mode the card has to operate with

C = 0x0C
AAAA - flags specifying the laser mode, here following values have to be or-concatenated to specify the 

behaviour of a laser:

0x40000000

 - laser frequency on LaserA output is turned on immediately and together with 

laser gate signal, this flag can't be used together with 

0x20000000

 

0x20000000

 - laser frequency on LaserA output is turned on after FPK time, this flag can't be 

used together with 

0x40000000

 

67

background image

0x10000000

 - laser supports FPK on LaserB output

0x08000000

 - laser frequency has to be turned off and switched to standby-frequency

0x04000000

 – a frequency can be emitted at LaserB permanently, the related frequency can 

be specified with command 0x15;
this flag requires firmware version 19 or newer.

Using these flags following laser types can be configured:

CO2-laser:

0x40000000 + 0x08000000

YAG-laser with FPK:

0x40000000 + 0x08000000 + 0x10000000

 or

0x20000000 + 0x08000000 + 0x10000000

laser with continuously running frequency:  

0x40000000

BBBB = unused, set to 0
EEEE = unused, set to 0

Set marking on-the-fly parameters

Specify the parameters used for marking on-the-fly applications

C = 0x0D
AAAA = marking on-the-fly resolution in X-direction in unit bits per encoder increment
BBBB = marking on-the-fly resolution in Y-direction in unit bits per encoder increment
EEEE = unused, set to 0

Set laser frequency

Specify the frequency the laser has to be operated with during marks, usage of these parameters 

depends on the lasermode specified with command 0x0C
C = 0x0E
AAAA = frequency in unit Hz and in range 25..20000000 Hz
BBBB = pulse-width in unit microseconds and in range 1..65530 usec
EEEE = unused, set to 0

Set laser standby frequency

Specify the frequency the laser has to be operated with during jumps, usage of these parameters 

depends on the lasermode specified with command 0x0C
C = 0x0F
AAAA = frequency in unit Hz and in range 25..20000000 Hz
BBBB = pulse-width in unit microseconds and in range 1..65530 usec
EEEE = unused, set to 0

Set first pulse killer

Specify the pulse width of the FPK signal when laser is turned on, usage of these parameters depends 

on the lasermode specified with command 0x0C
C = 0x11
AAAA = FPK pulse width in unit microseconds*100
BBBB = the time the laser frequency has to be started after beginning of FPK using unit microseconds*2, this 
value is used only when lasermode flag 0x20000000 is set
EEEE = unused, set to 0

Switch MO-output

Turns the MO-output of LP8 Extension Board on or off

C = 0x12
AAAA = turn MO output on when equal 1, turn it off when 0
BBBB = unused, set to 0
EEEE = unused, set to 0

68

background image

Release external trigger

When card is waiting for an external trigger this command can be sent to release this external trigger 

by software and to continue execution without the need to receive a real external signal
C = 0x13
AAAA = unused, set to 0
BBBB = unused, set to 0
EEEE = unused, set to 0

Wait for external input signal

Stop execution until a defined input bitpattern is detected at configurable input pins DIn0..DIn7 of Digi 

I/O Extension Board
C = 0x14
AAAA = a bitpattern specifying which signals LOW or HIGH have to be detected at digital input pins
BBBB = a bitpattern specifying which of the digital input pins have to be watched for a signal, these bits that are 
set to 0 are ignored while these bits, that are set to 1 have to get the state specified in previous parameter in 
order to let operation of card continue
EEEE = unused, set to 0

Set LaserB frequency

Specify the frequency LaserB output has to emit; this function can only be used when operating using a 

laser mode with flag 

0x04000000

 set (see command 0x0C above). 

This command requires firmware version 19 or newer.
C = 0x15
AAAA = frequency in unit Hz and in range 25..20000000 Hz
BBBB = pulse-width in unit microseconds and in range 1..65530 usec
EEEE = unused, set to 0

Wait until on-the-fly-increments have been elapsed

This command adds some special kind of delay to the application. It can be used only when marking on-

the-fly is enabled (by setting the on-the-fly factors), and halts laser marking not for a given time but for a given 
distance. Marking is continued only when the given number of increments has elapsed. When no or not enough 
increments are counted by the controller, operation only can be stopped.
This command requires firmware version 27 or newer.
C = 0x16
AAAA = positive or negative number of increments to wait for until operation continues; here it depends on the 
used counting direction of the encoder if the given distance-value has to be positive or negative, when sign of 
the number and counting direction of the encoder do not fit to each other, the controller will halt at this 
position for a very long time
BBBB = unused, set to 0
EEEE = unused, set to 0

Insert a delay into the stream of data

This command adds a delay and lets the controller wait for the given time of ticks until the next 

command is executed. One tick is equal to 0,5 usec.
This command requires firmware version 39 or newer.
C = 0x18
AAAA = number of ticks to wait for
BBBB = unused, set to 0
EEEE = unused, set to 0

Switch LP8-Latch-output

Turns the LP8-Latch-output of LP8 Extension Board on or off

This command requires firmware version 39 or newer.
C = 0x19
AAAA = turn Latch output on when equal to 1, turn it off when 0

69

background image

BBBB = unused, set to 0
EEEE = unused, set to 0

Specify output for MIP-signal

Specify a single output pin of Digi I/O Extension Board to be used for "Mark in progress"-signal, this 

output pin will be HIGH as long as a marking operation is in progress.
C = 0x2A
AAAA = the number (not a bitpattern!) of the digital output pin to be used for MIP-signal (in range 0..7)
BBBB = unused, set to 0
EEEE = unused, set to 0

Halt/continue current marking operation

Stops the current marking operation on very next appearance of a jump or continue a previously halted 

operation.
C = 0x2F
AAAA = 1 to halt marking and 0 to continue a halted operation
BBBB = unused, set to 0
EEEE = unused, set to 0

Specify output for WET-signal

Specify a single output pin of Digi I/O Extension Board to be used for "Wait External Trigger"-signal, 

this output pin will be HIGH as controller is waiting for an external trigger.
This command requires firmware version 21 or newer.
C = 0x33
AAAA = the number (not a bitpattern!) of the digital output pin to be used for WET-signal (in range 0..7)
BBBB = unused, set to 0
EEEE = unused, set to 0

Set first row of 2x2 output matrix

Specify the elements m11 and m12 of a 2x2 output matrix which is applied to all coordinate values as 

soon as the second half is applied with command 0x41. This matrix can be used to scale, slant, rotate and mirror 
the input coordinates in respect to the output positions. For details please check out description of command 
0x41 below
This command requires firmware version 31 or newer.
C=0x40
AAAA = the m11 part of the 2x2 matrix multiplied with 1000000
BBBB = the m12 part of the 2x2 matrix multiplied with 1000000
EEEE = unused, set to 0

Set second row of 2x2 output matrix

Specify the elements m21 and m22 of a 2x2 output matrix which is applied to all coordinate values 

together with the first row of matrix data which has to be set using command 0x40 in a preceding call. This 
matrix can be used to scale, slant, rotate and mirror the input coordinates in respect to the output positions. 
Assumed a matrix bases on an 4-elements array, it has following structure:

{m11, m12, m21, m22}

then these matrix values can be used and even combined with each other by multiplying them:

rotation:

{cos(angle), -sin(angle), sin(angle), cos(angle)}

scaling:

{factorX, 0.0, 0.0, factorY}

slant X:

{1.0, 1.0/tan(angle), 0.0, 1.0}

slant Y:

{1.0, 0.0, 1.0/tan(angle), 1.0}

mirror X:

{-1.0, 0.0, 0.0, 1.0}

mirror Y:

{1.0, 0.0, 0.0, -1.0}

70

background image

This command requires firmware version 31 or newer.
C=0x41
AAAA = the m21 part of the 2x2 matrix multiplied with 1000000
BBBB = the m22 part of the 2x2 matrix multiplied with 1000000
EEEE = unused, set to 0

Download new firmware

Download a new firmware file to the controller and write it to the microSD-card so that it can be used 

after next reboot. The binary data of the new firmware have to be appended directly to this command. This 
command has to be used in a specific sequence in order to ensure the current firmware file is updated correctly:

ensure the card is idle (state-flag 

SSSS

 is 0)

send command 0x45 with length of firmware data and checksum

send binary firmware data directly after this command

wait until card state returns “active” (by repeatedly sending ping-commands), now in state flag 

SSSS

 bit 

0x4000 (

E170X_CSTATE_WRITING_DATA

) is set

wait until card state returns “idle” again (by repeatedly sending ping-commands), the flag 0x4000 no 
longer should be set in state flag 

SSSS

check if an error occurred: when flags 0x8000 (

E170X_CSTATE_WRITING_DATA_ERROR

) is set in 

state flag 

SSSS

, downloading or writing or checksum calculation failed and the original file was not 

replaced; for debugging in such a case the command “cglog” can be called repeatedly until the related 
error text was found; when this error flag is set it can be reset only by using command 0x45 again

reboot the controller

check if the version of the firmware has changed

This command requires firmware 32 or newer.
C = 0x45
AAAA = the length of the firmware file in bytes
BBBB = checksum for verification of the downloaded data, only when this checksum is correct, the old firmware 

file will be replaced; the checksum can be calculated using following function (C example code):

unsigned int crc32b(const char *buf,size_t len)
{
   int          k;
   unsigned int crc=0xFFFFFFFF;

   while (len--)
   {
      crc^=*buf++;
      for (k=0; k<8; k++)
       crc=crc&1 ? (crc>>1) ^ 0x82f63b78 : crc>>1;
   }
   return ~crc;
}

EEEE = specifies the file which has to be overwritten by the current data download:

0 – overwrite file 0:/version.txt when downloading of data was successful

1 – overwrite file 0:/e1701.fwi when downloading of data was successful

2 – overwrite file 0:/e1701.dat when downloading of data was successful

3 – overwrite file 0:/e1701.cfg when downloading of data was successful

Set Position Offset

Set a positive or negative offset which then applies to all following position commands submitted via 

command 0x00 or 0x01.
This offset is used until the controller is rebooted or until an other offset is set
This command requires firmware version 37 or newer.
C = 0x4A
AAAA = x-position offset in range -33554432..33554432
BBBB = y-position offset in range -33554432..33554432
EEEE = z-position offset in range -33554432..33554432

71

background image

Reset the board

This function performs a warm reboot of the hardware and restarts the firmware. Reboot is done 

immediately, means this command does not return anything but connection to the board will be interrupted as 
soon as it has been sent.
This command requires firmware version 19 or newer.
C = 0xFF
AAAA = unused, set to 0
BBBB = unused, set to 0
EEEE = unused, set to 0

72

background image

9 Programming Interfaces

The e1701.dll / libe1701.so shared library provides an own programming interface that gives the possibility to 
access and control the E1701 scanner controller card.

Beside of that e1701inter.dll / libe1701inter.so come with some compatibility interfaces for different other 
scanner cards like Scanlab(tm) RTC4(tm) and SCAPS(tm) USC1/2. They can be used to access E1701 scanner 
card with existing software easily. To do that, the "e1701inter" shared library just has to be renamed to the 
library name of the original vendor (like RTC4DLL.DLL, libslrtc4.so or sc_optic.dll). In order to operate E1701 
card with different than the default settings, recompilation of code to be reused is necessary, here at the very 
beginning and before initialisation a call to 

E170X_set_connection()

 has to be added in order to specify 

the connection to the card. Beside of this none of the different programming interfaces should be mixed.

The e1701inter.dll / libe1701inter.so is no longer supported and therefore available only until software 
versions up to 7.8.

9.1 E1701 Easy Interface Functions

These functions belong to the native programming interface of E1701 scanner card and should be used 
preferential in order to get access to all features and full performance of the scanner card. Header files and 
additional data required for using this interface can be found online in our public GIT-repository at 

https://sourceforge.net/p/oapc/code/ci/master/tree/libe1701/

. There at 

https://sourceforge.net/p/oapc/code/ci/master/tree/libe1701/libe1701_test/

 also an example application can 

be found that demonstrates the usage of the API.

Functions of E1701 Easy Interface are either stream commands that are executed in the order they are called, 
or functions that are executed immediately.

The E1701 does NOT use the concept of two or more lists that have to be managed and switched by the calling 
application. Here all stream commands simply are sent to the card without the need to provide some additional 
management information. Output of data is started only when 

E170X_execute()

 is called or when a card-

internal threshold is exceeded. This card-internal triggered output of data can be held back only by calling 
function 

E170X_set_trigger_point()

 as very first so that marking starts only after an external trigger 

signal was detected by the card. In this case it is necessary to watch the buffer fill level of the card to avoid a 
buffer-overrun by calling function 

E170X_get_free_space()

.

E1701 Easy Interface uses unit “bits” as base for all units and parameters. Since E1701 card internally uses 26 
bits resolution for a better accuracy and to minimize round off errors, all calculation is done with these 26 bits. 
So the working area always has a size of 26 x 26 bits equal to 67108864 x 67108864. Independent from real 
resolution and output of hardware all calculations have to be done within this 26 bit range.

E1701 Easy Interface provides following functions:

unsigned char E170X_set_connection(const char *address)

This function has to be called as very first. It is used to specify the IP address where the card is 

accessible at (in case of Ethernet connection) or the serial interface (in case of USB connection, “COMx” for 
Windows and “/dev/ttyACMx” for Linux where “x” is the number of its interface). By default IP 192.168.2.254 is 
used. This is the only function that has to be called in case of both, when compatibility functions and when 
E1701 Easy Interface functions are used.
It returns a board instance number that has to be used with all following functions (this is true for Easy 
Interface and RTC-compatible functions).
Please note: this function does only set the connection information, it does not yet open the connectio nto the 
controller! This happens on first call to 

E170X_load_correction()

.

Parameters:

address

 – a char-array containing the IP in xxx.yyy.zzz.aaa notation or the name of the COM port to be used

73

background image

Return: the board instance number or 0 in case of an error

void E170X_set_password(const char n,const char *ethPwd)

Sets a password that is used for Ethernet connection of E1701 card. The same password has to be 

configured on E1701 configuration file e1701.cfg with parameter "

passwd

" to add an additional level of 

security to an Ethernet controlled card.
PLEASE NOTE: usage of this password does NOT provide enough security to control the card via networks that 
are accessible by a larger audience, publicly or via Internet! Also when this password is set, the card always 
should operate in secured, separated networks only!
Every card and every connection should use an own, unique password that can consist of up to 48 characters 
containing numbers, lower- and uppercase letters and punctuation marks. Due to compatibility reasons no 
language-specific special character should be used.
When connected via USB serial interface, this password is ignored. In this case no authentication is done.

Parameters:

ethPwd

 – the password to be used to authorise at an E1701 card. To reset a local password for connecting to a 

card that doesn't has a Ethernet password configured, hand over an empty string "" here

int E170X_load_correction(unsigned char n, const char* filename, unsigned char 
tableNum)

Loads a correction file to be used during vector data output. In case a previously loaded correction 

table has to be flushed and no other correction has to be used, parameter "

filename

" needs to be empty.

This function has to be called for first time on initialisation and before any vector data are sent to the board. It is 
mandatory to call this function at least once since it establishes connection to E1701 card. So when no 
correction file has to be used, this function still has to be called but with an empty filename “”.
This function supports different correction table file formats directly and without previous conversion:

BeamConstruct .bco high resolution files

Scanlab .ctb and .ct5 files

SCAPS .ucf files

Raylase .gcd files

Rofin .fcr files

CTI/GSI .xml files

Sunny .txt 5x5 point correction files

Han’s .crt files

This is not a stream-command, means its data may be applied immediately and independent from current 
stream state.

Parameters:

n

 – the 1-based board instance number as returned by 

E170X_set_connection()

filename

 – the full path to the correction file to be loaded from file system, when "" is specified here, a 

previously used correction file is flushed and no/neutral correction is used as long as no other correction table 
is given

tableNum

 – the 0-based correction table number these data have to be loaded for; it is possible to download 

up to 16 different correction tables and to switch between them during operation using function 

E170X_switch_correction()

Return: 

E170X_OK

 or an 

E170X_ERROR_

- or RTC-compatible return code in case of an error

void E170X_close(const unsigned char n)

Closes the connection to a card and releases all related resources. After this function was called, no 

more commands can be sent to the card until 

E170X_set_connection()

 and 

E170X_load_correction()

/

n_load_correction_file()

/

load_correction_file()/

ScSCIInitInterface() 

is called again.

74

background image

Parameters:

n

 – the 1-based board instance number as returned by 

E170X_set_connection()

int E170X_switch_correction(unsigned char n, unsigned char tableNum)

Switches between up to 16 correction tables on the fly. When a table-number is given where no file was 

downloaded before using function 

E170X_load_correction()

, no correction is performed on all following 

vector data.
This is a stream-command, means the new correction is applied to vector data sent to the card after this 
command but NOT to already sent but not yet processed data. Thus on-the-fly switching between correction 
tables is possible.

Parameters:

n

 – the 1-based board instance number as returned by 

E170X_set_connection()

tableNum

 – the 0-based table number of the correction that has to be used for all following vector data

Return: 

E170X_OK

 or an 

E170X_ERROR_

-return code in case of an error

int E170X_set_debug_logfile(const unsigned char n,const char *path,const 
unsigned char flags)

This function can be used during development to check an own application regarding called commands 

and their parameters. It lets libe1701 write all function calls into a logfile so that it is possible to evaluate the 
real order of commands.

Parameters:

n

 – the 1-based board instance number as returned by 

E170X_set_connection()

path

 – full path to the file which has to be used as debug log file

flags

 – a bunch of OR-concatenated flags which specify what function calls have to be written into or filtered 

from the log output; when 0x00 is specified here, the log file is kept quite small. When 0x01 is set, all motion-
related function calls are added too, when 0x02 is set, all calls which check the state of the card are added to 
the log file.

Return: 

E170X_OK

 or an 

E170X_ERROR_

-return code in case of an error

int E170X_set_xy_correction(const unsigned char n,const unsigned int flags,const 
double gainX, const double gainY,const double rot,const int offsetX,const int 
offsetY,const double slantX, const double slantY)

Sets size correction factor and offset for X and Y direction of working area as well as a rotation. With 

this command a matrix set with 

E170X_set_matrix()

 will be overwritten.

This is a stream-command, means its parameters are applied at a point in stream that is relative to the other 
stream commands and changed values apply only to these vector data and coordinates, which are sent after 
calling this function.

Parameters:

n

 – the 1-based board instance number as returned by 

E170X_set_connection()

flags

 – following flags require firmware version 32 or newer:

E170X_COMMAND_FLAG_XYCORR_MIRRORX

 – the output willbe mirrored in X-direction

E170X_COMMAND_FLAG_XYCORR_MIRRORY

 – the output will be mirrored in Y-direction

gainX

 – scale factor in x-direction, 1.0 means no scaling

gainY

 – scale factor in y-direction, 1.0 means no scaling

rot

 – rotation of whole working area in unit degrees

offsetX

 – offset in x-direction in unit bits, 0 means no offset

offsetY

 – offset in y-direction in unit bits, 0 means no offset

75

background image

slantX

 – trapezoidal correction along X-axis in range -45..45°

slantY

 – trapezoidal correction along Y-axis in range -45..45°

Return: 

E170X_OK

 or an 

E170X_ERROR_

-return code in case of an error

int E170X_set_z_correction2(const unsigned char n,const int flags,const double 
gainZ,const int offsetZ,const unsigned int h,const double xy_to_z_ratio)

Set additional Z correction parameters.

This function may be used to adjust the Z-axis and in cases where third axis is used with a large Z working range 
for an additional Z-focus-correction. Here additional deviation occurs when no F-Theta lens is used caused by 
the fact that the beam is always sent from the centre of the scanhead – which causes some kind of projection 
resulting in larger or smaller X and Y positions depending on the real Z height. This deviation can be adjusted by 
an internal Z-focus-correction.
Beside of that, the Z-position can be adjusted via a gain factor and by using an offset, shifting it into a specific 
direction
This is a stream-command, means its parameters are applied at a point in stream that is relative to the other 
stream commands and changed values apply only to these vector data and coordinates, which are sent after 
calling this function.
This function requires firmware version 27 or newer.

Parameters:

n

 – the 1-based board instance number as returned by 

E1803_set_connection()

flags

 – optionally set the flag 

E1803_COMMAND_FLAG_ZCORR_MIRRORZ

 to invert the orientation of the Z-

axis, for normal scanhead working in correct direction, this value can be left at 0

gainZ

 – scales the Z axis by the given factor, when set to 1.0, no scaling is applied to the Z-coordinates

offsetZ

 – shifts the Z-position into the given direction (using unit bits), when set to 0, no offset is applied to 

the Z-coordinates

h

 – the vertical height from last mirror of the scanhead to the working area (Z-position 0 of working area) in 

unit bits, when set to 0, the Z-focus-correction is disabled

xy_to_z_ratio

 – factor specifying the ratio between maximal horizontal working area size and maximal 

vertical movement size. As an example: when the working area has a size of 100 x 100 mm and the Z-axis has a 
maximum movement range of -20 mm .. 20 mm, the ratio to be set is 2,5 (100 mm horizontal divided by 40 mm 
vertical); when this value is set to a ratio equal or smaller than 0.0, the Z-focus-correction is disabled

For more details about the Z-focus correction applied by setting the parameters 

h

 and 

xy_to_z_ratio

please refer to the image below:

76

background image

Here “h” is the height from the position where the beam hits the last mirror to the position of the working area 
at z=0 position (in unit bits). “xy” is the width of the working area to be used together with the “z” range from 
“z=min” to “z=max” to calculate the 

xy_to_z_ratio

. All working area parameters like its width “xy” and the 

“z”-range are expected to be the theoretical maximum of the full range, not the – possibly smaller – range used 
in a specific setup.

Return: 

E170X_OK

 or an 

E170X_ERROR_

-return code in case of an error

int E170X_set_speeds(unsigned char n, double jumpspeed,double markspeed)

Set scanner speed values to be used for all following vector data and until not replaced by other speed 

values.
This is a stream-command, means its parameters are applied at a point in stream that is relative to the other 
stream commands and changed values apply only to these vector data and coordinates, which are sent after 
calling this function.

Parameters:

n

 – the 1-based board instance number as returned by 

E170X_set_connection()

jumpspeed

 – scanner movement speed during jumps (movements when laser is off) in unit bits/msec and 

range 1..4294960000

markspeed

 – scanner speed during mark (movements when laser is on) in unit bits/msec and range 

1..4294960000

Return: 

E170X_OK

 or an 

E170X_ERROR_

-return code in case of an error

int E170X_set_overspeed(const unsigned char n,const unsigned int flags,const 
double scannerLag,const double jumpFactor,const double reserved);

 

Turns on the overspeed function of the controller card which tries to move the scanhead with a 

multiple of its nominal speed without damaging the marking result by massive distortions. This function call can 
be used to enable and configure or to disable the overspeed-feature. Depending on the type of marking data 
this function can save nameable amounts of marking time. It can be used with any kind of scanhead which meet 
the following requirements:

hardware is a galvo-driven scanhead

is does not contain an internal speed limit that suppresses all speeds beyond an artificial limit

From technical point of view as soon as the overspeed function is enabled, all vector data are analysed by the 
controller card. When vectors are found which are suitable to be driven with overspeed, specific acceleration 
and deceleration ramps are done with these vectors to ensure the marking result itself is not distorted. Next 
these vectors are driven with a multiple of its normal speed. Vectors which are not suitable to be used with the 
overspeed function are left untouched, there neither any speed ramping is done nor is the nominal speed 
changed.
This function requires firmware version 41 or newer.

Parameters:

n

 – the 1-based board instance number as returned by 

E170X_set_connection()

flags

 – a set of operational flags that specify how the function has to be used, currently only 

E170X_COMMAND_FLAG_STREAM

 is allowed

scannerLag

 – the lag (“tracking error”) of the scanner in unit msec; this value is predefined by the hardware of 

the scanhead and should be available from its technical data; when this value is equal or less than 0.0, the 
overspeed-function is turned off

jumpFactor

 – the factor the nominal jump speed (as set via function 

E170X_set_speeds()

) is allowed to 

be exceeded during overspeed-drives; when this value is equal or less than 1.0, the overspeed-function is 
turned off

reserved

 – reserved for future use, has to be set to 0

Return: 

E170X_OK

 or an 

E170X_ERROR_

-return code in case of an error

77

background image

int E170X_set_laser_delays(const unsigned char n,double ondelay,double offdelay)

Set laser delay values to be used for all following vector data and until not replaced by other delay 

values.
This is a stream-command, means its parameters are applied at a point in stream that is relative to the other 
stream commands and changed values apply only to these vector data and coordinates, which are sent after 
calling this function.

Parameters:

n

 – the 1-based board instance number as returned by 

E170X_set_connection()

ondelay

 – laser on delay in unit microseconds, can be a negative or a positive value

offdelay

 – laser off delay in unit microseconds, must be a positive value

Return: 

E170X_OK

 or an 

E170X_ERROR_

-return code in case of an error

int E170X_set_scanner_delays(const unsigned char n,const unsigned int 
flags,const double jumpdelay,const double markdelay,const double polydelay)

Set scanner delays in unit microseconds. Smallest possible value and resolution is 0.5 microseconds.

This is a stream-command, means its parameters are applied at a point in stream that is relative to the other 
stream commands. So values set here apply only to these vector data that are sent after this command.

Parameters:

n

 – the 1-based board instance number as returned by 

E170X_set_connection()

flags

 – here some flags can be set which add some further functional specifications and features to this 

function. At the moment following flags are supported and can be OR-concatenated with each other:

E170X_COMMAND_FLAG_SCANNER_VAR_POLYDELAY

 – when this flag is set, the value set via 

polydelay

 is not applied statically to every point within a polygon, but it is set dynamically depending 

on the angle between two lines; no angle (a straight line) results in no delay while a 180 degree angle  
results in a full delay as set by value 

polydelay

; this flag requires firmware version 31 or newer

jumpdelay

 – the jump delay value in unit microseconds

markdelay

 – the mark delay value in unit microseconds

polydelay

 – the in-polygon delay value in unit microseconds

Return: 

E170X_OK

 or an 

E170X_ERROR_

-return code in case of an error

int E170X_set_laser_mode(unsigned char n, unsigned int mode)

Sets the laser mode to be used for all following operations, this value influences the signals emitted at 

the connectors of the card. This function has to be called prior to setting any other laser parameters (like 
frequency, standby-frequency, power).
This is a stream-command, means its parameters are applied at a point in stream that is relative to the other 
stream commands.

78

background image

Parameters:

n

 – the 1-based board instance number as returned by 

E170X_set_connection()

mode

 - the laser mode, here one of the following values is possible:

E170X_LASERMODE_CO2

 – for controlling CO2 lasers, this mode supports stand-by frequency at 

LaserA output (to be set with function 

E170X_set_standby()

) and PWM-modulated frequencies 

during marking and for power control (to be set with function 

E170X_set_laser_timing()

)

E170X_LASERMODE_YAG1

 – for controlling YAG lasers, this mode supports stand-by and Q-Switch 

frequency at LaserA output (to be set with function 

E170X_set_standby()

) and a first pulse killer 

signal at output LaserB that is issued on beginning of a mark together with the Q-Switch frequency (to 
be set with function 

E170X_set_fpk()

):

Here Q-Switch signal is started together with laser gate and FPK pulse. At end of mark when laser gate 
is turned off stand-by frequency is emitted at LaserA.

E170X_LASERMODE_YAG2

 - for controlling YAG lasers, this mode supports stand-by and Q-Switch 

frequency at LaserA output (to be set with function 

E170X_set_standby()

) and a first pulse killer 

signal at output LaserB that is issued on beginning followed by Q-Switch frequency that starts when 
FPK pulse has finished:

Here FPK and laser gate are started together. Q-Switch signal is started at end of FPK pulse. At end of 
mark when laser gate is turned off, stand-by frequency and pulse-width is emitted at LaserA instead of 
Q-Switch frequency.

E170X_LASERMODE_YAG3

 – for controlling YAG lasers, this mode supports stand-by and Q-Switch 

frequency at LaserA output (to be set with function 

E170X_set_standby()

) and a first pulse killer 

signal at output LaserB that is issued on beginning followed by Q-Switch frequency that starts after a 
freely configurable time period “yag3QTime”:

79

background image

Here FPK and laser gate are started together. Q-Switch signal is started after yag3QTime has elapsed 
according to the beginning of FPK pulse. This time value can be set using function 

E170X_set_fpk()

.

 

At end of mark when laser gate is turned off, stand-by frequency and pulse-width is emitted at LaserA 
instead of Q-Switch frequency.

E170X_LASERMODE_CRF

 – for controlling lasers that require a continuously running frequency (like 

fiber-lasers), this frequency is emitted at LaserA output and can be set and changed by calling function 

E170X_set_standby()

.

E170X_LASERMODE_DFREQ

 – for controlling special lasers that require two frequencies, the second, 

continuously running frequency is emitted at LaserB output and can be set with function 

E170X_set_laserb()

E170X_LASERMODE_MOPA

 – for fiber lasers which are driven by a main oscillator and power amplifier 

and that are power-controlled via LP8 digital port and latch bit

Return: 

E170X_OK

 or an 

E170X_ERROR_

-return code in case of an error

int E170X_set_laser(const unsigned char n,const unsigned int flags,const char 
on)

Switches the laser on or off independent fro many mark or jump commands.

Parameters:

n

 – the 1-based board instance number as returned by 

E170X_set_connection()

flags

 – handling flags specifying the behaviour of this command, 

E170X_COMMAND_FLAG_STREAM

 to use it 

as stream command, 

E170X_COMMAND_FLAG_DIRECT

 to execute it immediately and independent on current 

stream and execution state; in case 

E170X_COMMAND_FLAG_STREAM

 is used, please ensure this function call is 

followed by other stream commands, elsewhere the laser is turned off for security reasons as soon as no more 
data are available to process in order to not to let the laser fire while the card is waiting

on

 – set to 1 to turn the laser on or to 0 to turn it off

Return: 

E170X_OK

 or an 

E170X_ERROR_

-return code in case of an error

int E170X_set_wobble(const unsigned char n,unsigned int x,unsigned int y,double 
freq)

This function gives the possibility to not to let the laser beam follow the given path directly but to 

rotate around the specified path and lasers current position. Depending on chosen wobble-parameters and 
marking speed, this results either in a thick or a sinusoidal line. This call sets wobble parameters to be used for 
all following vector data and until not replaced by other wobble values or by 0 which disables wobble mode.
This is a stream-command, means its parameters are applied at a point in stream that is relative to the other 
stream commands.

Parameters:

n

 – the 1-based board instance number as returned by 

E170X_set_connection()

x

 – wobble amplitude in x direction in units bits and range 1..10000000

y

 – wobble amplitude in y direction in units bits and range 1..10000000

freq – wobble frequency in Hz in range 1..25000

80

background image

Return: 

E170X_OK

 or an 

E170X_ERROR_

-return code in case of an error

int E170X_jump_abs(const unsigned char n,int x,int y,int z)

Perform a jump (movement with laser turned off) to the given position. This causes a galvo movement 

from current position to the one specified by this functions parameters using the jump speed and taking the 
jump delay into account:

When laser was turned on before this function is called, laser is turned off at the beginning with a delay 
specified by laser off delay (please refer to description of 

E170X_mark_abs()

 for a diagram showing laser off 

delay too).
This is a stream-command, means it is executed at a point in stream that is relative to the other stream 
commands.

Parameters:

n

 – the 1-based board instance number as returned by 

E170X_set_connection()

x

 – the x-coordinate in unit bits the scanner has to jump to

y

 – the y-coordinate in unit bits the scanner has to jump to

z

 – the z-coordinate in unit bits the scanner has to jump to (requires a hardware that is equipped with Z- 

channel)

Return: 

E170X_OK

 or an 

E170X_ERROR_

-return code in case of an error

int E170X_mark_abs(const unsigned char n,int x,int y,int z)

Perform a mark (movement with laser turned on) to the given position. This causes a galvo movement 

from current position to the one specified by this functions parameters using the mark speed and taking the 
mark delay into account. When laser was turned off before this function is called, laser is turned on at the 
beginning with a delay specified by laser on delay:

81

background image

This is a stream-command, means it is executed at a point in stream that is relative to the other stream 
commands.

Parameters:

n

 – the 1-based board instance number as returned by 

E170X_set_connection()

x

 – the x-coordinate in unit bits the scanner has to move to

y

 – the y-coordinate in unit bits the scanner has to move to

z

 – the z-coordinate in unit bits the scanner has to move to (requires a hardware that is equipped with Z- 

channel)

Return: 

E170X_OK

 or an 

E170X_ERROR_

-return code in case of an error

int E170X_get_pos(const unsigned char n,int *x,int *y,int *z)

This function returns the last position of the scanner:

when an XY3-100 scanhead is connected, that provides its actual position, these values are returned

when no such scanhead is connected, the last nominal position sent to the head are returned

The function needs the controller to be in idle-mode, means no marking operation is allowed to run in order to 
get the position information.
Please note: when a correction file is set, and/or a matrix is set and/or an offset is set and/or any other function 
is used which modifies the position data, the coordinates returned here are 

not

 the values which have been sent 

with the last call to 

E170X_jump_abs()

 or 

E170X_mark_abs()

 or 

E170X_set_pos()

 as they have been 

processed and modified by these correction functions. So while the jump/mark functions set position data 
according to the desired coordinate system, the values returned by 

E170X_get_abs()

 are the real-world 

coordinates at the hardware.
This function requires firmware version 42 or newer.

Return: 

E170X_OK

 or an 

E170X_ERROR_

-return code in case of an error

int E170X_set_pos(const unsigned char n,int x,int y,int z,unsigned char laserOn)

Perform a raw, immediate movement to the given position.

HANDLE WITH CARE! This function causes galvo movement to the given position immediately, without 
respect to any mark or jump speed values, without micro-vectorisation or intermediate steps! This means it can 
result in a very heavy movement for the galvos and in worst case it may cause some damage! Since the resulting 
movement speed may be way too high for the used galvos, they may overshoot and need some time until the 
desired position is reached. So this function is mainly intended to be used for very small position changes in 
respect to the galvos current position.

82

background image

This is a stream-command, means it is executed at a point in stream that is relative to the other stream 
commands.

Parameters:

n

 – the 1-based board instance number as returned by 

E170X_set_connection()

x

 – the x-coordinate in unit bits the scanner has to jump to

y

 – the y-coordinate in unit bits the scanner has to jump to

z

 – the z-coordinate in unit bits the scanner has to jump to (requires a hardware that is equipped with Z- 

channel)

laserOn

 – specifies if the movement has to be done with laser turned on (1) or off (0)

Return: 

E170X_OK

 or an 

E170X_ERROR_

-return code in case of an error

int E170X_set_pixelmode(const unsigned char n,const unsigned int mode,const 
double powerThres,const unsigned int res)

Set the operational mode for 

E170X_mark_pixelline()

. This function influences the behaviour 

when marking a pixel line. This is a stream-command, means its parameters are applied at a point in stream that 
is relative to the other stream commands.
This function requires firmware version 19 or newer.

Parameters:

n

 – the 1-based board instance number as returned by 

E170X_set_connection()

mode

 – pixel marking mode, this parameter can be set to:

0 – default mode, while marking a pixel line the controller tries to perform jumps when power 
is below of the given threshold 

powerThres

 to save marking time

E170X_PIXELMODE_NO_JUMPS

 – no jumps are performed, the given power threshold is 

ignored and the full pixel line is done with marking speed; this mode is slower but can result in 
more accurate and more exact images

E170X_PIXELMODE_JUMP_N_SHOOT

 – marking of the line is no longer done with a 

continuous movement but with a sequence “jump to position   shoot   jump to next position 

 shoot   jump to next position   shoot...”; here the shoot-time is equal to the laser-off-delay 

minus laser-on-delay as set with function 

E170X_set_laser_delays()

E170X_PIXELMODE_HW_POWER_CONTROL

 – when this flag is set, the controller card takes 

care about setting the power for the pixels. This works only when a lasermode is chosen where 
the scanner card supports native power control. When this flag is set, a power-callback, 
handed over together with a call to 

E170X_mark_pixelline()

 is ignored.

E170X_PIXELMODE_GATE_POWER_CONTROL

 – this is a special bitmap marking mode where 

no real power control is supported. When this flag is set, the LaserGate output is toggled 
depending on the required output power. Since this output supports only states LOW and 
HIGH, this bitmap marking mode results in black and white images only

E170X_PIXELMODE_JUMP_LEAVE_POWER

 – during bitmap marking, when no flag 

E170X_PIXELMODE_NO_JUMPS

 is set, below of a specific power threshold a jump is 

performed. By default, prior to such a jump, the laser power is set to 0 to handle faultily lasers 
that have spurious emissions even when LaserGate is at LOW. For laser types, which do not 
suffer from such emissions, this flag can be set. It leaves the last power value active also during 
jumps, which saves some marking time. So this flag can be used for speed-optimising bitmap-
marking.

powerThres

 – this value is used only in default mode, when the marking power for some pixels is below of the 

given value (in unit percent), a jump is performed to save marking time, during this jump the laser is off and no 
marking is done

res

 – reserved, set always to 0

Return: 

E170X_OK

 or an 

E170X_ERROR_

-return code in case of an error

83

background image

int E170X_mark_pixelline(const unsigned char n,int x,int y,int z,int 
pixWidth,int pixHeight,int pixDepth,unsigned int pixNum,double 
*pixels,E170X_power_callback power_callback,void *userData)

This function can be used to mark a single line of a bitmap image. Here horizontal, vertical and even 3D 

bitmap lines (going into depth) can be marked. Direction and orientation of the line to be marked can be chosen 
freely. A full image can be created by concatenating several lines. Power control during marking of such a 
bitmap line is not limited to some specific power outputs, it can be fully customised via a callback function.

Parameters:

n

 – the 1-based board instance number as returned by E170X_set_connection()

x, y, z

 – the starting coordinates of the line in unit bits

pixWidth

 – the width of a single pixel (in unit bits), when this is set to a value greater or smaller than 0 while all 

the others are equal 0, a horizontal line is drawn; the sign of the value specifies the marking direction

pixHeight

 – the height of a single pixel (in unit bits), when this is set to a value greater or smaller than 0 while 

all the others are equal 0, a vertical line is drawn; the sign of the value specifies the marking direction

pixDepth

 – the depth of a single pixel (in unit bits, requires a 3D-capable scanhead), when this is set to a value 

greater or smaller than 0 while all the others are equal 0, line goes into depth; the sign of the value specifies the 
marking direction

pixNum

 – the number of pixel data contained in the array of intensity values handed over with the following 

parameter

pixels

 – an array of double-values with a length equal the number of pixels specified with 

pixNum

 and with 

an allowed range of 0.0..100.0 specifying the intensity; every entry of this array is equal to one pixel of the 
bitmap, so a greyscale-pixelline with brightness values in range 0..255 has to be converted to values in range 
0.0..100.0

power_callback

 – this is a callback function of type 

int (*E170X_power_callback)(unsigned char n, double power, void *userData)

which is used to set the power for every pixel. There these 

E170X_

-functions have to be called that belong to 

the used laser type and set the power values according to it's hardware capabilities. Within the power callback 
function only stream commands are allowed to be called. It is not possible to use external devices that are not 
synchronous to E1701 command stream. The power callback has to return with 

E170X_OK

 when setting of 

power was successful. In case of an error the appropriate error code has to be returned, the pixel marking 
function will be cancelled in such a case too and does not finish marking of the line. Parameter 

n

 is the 1-based 

board instance number specifying the board the power has to be changed for, power is the power to be set in 
unit percent and 

userData

 are some free to use, custom data that can be handed over on call to 

E170X_mark_pixelline()

.

userData

 - here some custom data can be handed over which are forwarded on and handed over at every call 

of the power-callback

Return: 

E170X_OK

 or an 

E170X_ERROR_

-return code in case of an error

int E170X_set_matrix(const unsigned char n,const unsigned int flags,const double 
m11,const double m12,const double m21,const double m22)

Specify a 2x2 matrix that contains scaling and rotation corrections for the output. When a given matrix 

element parameter has a value smaller or equal -10000000 it is ignored and the previous/default value is kept 
at this position in matrix. With this command any correction set with 

E170X_set_xy_correction2()

 will 

be overwritten.
This is a stream-command, means its parameters are applied at a point in stream that is relative to the other 
stream commands.

Parameters:

n

 – the 1-based board instance number as returned by 

E170X_set_connection()

flags

 – reserved for future use, set to 0 for compatibility

m11

 – first matrix element in first row

m12

 – second matrix element in first row

84

background image

m21

 – first matrix element in second row

m22

 – second matrix element in second row

Return: 

E170X_OK

 or an 

E170X_ERROR_

-return code in case of an error

int E170X_set_trigger_point(const unsigned char n)

Specifies a point in data stream where execution has to stop until an external trigger signal (mark start) 

or a manual release of this trigger point is detected. This expects a rising edge on ExtStart input or calling of 
function 

E170X_release_trigger_point()

.

This is a stream-command, means it is executed at a point in stream that is relative to the other stream 
commands.

Parameters:

n

 – the 1-based board instance number as returned by 

E170X_set_connection()

Return: 

E170X_OK

 or an 

E170X_ERROR_

-return code in case of an error

int E170X_release_trigger_point(const unsigned char n)

This function should be called only when a call to 

E170X_set_trigger_point()

 was done before. 

It acts like an external trigger signal, releases the waiting condition and lets the controller start processing. So 
this function provides some kind of software-simulated external start-signal.
ATTENTION: this command will not arrive at the controller when there is no more space left on it, means when 
all controller-internal buffers are filled. So after a call to 

E170X_set_trigger_point()

 and during sending 

of commands and data to the controller, application has to ensure there is some space left in controller's 
buffers. This can be done by calling 

E170X_get_free_space()

 with flag 

E170X_FREE_SPACE_PRIMARY

 

for checking the available space in primary buffer. It is recommended to leave space for at least 10000 elements 
in primary buffer in order to let a call to 

E170X_release_trigger_point()

 work properly.

When the buffers already have been filled completely, this function will no longer work and marking can be 
started only by applying the ExtStart hardware signal.
This is not a stream-command, it is applied to controller immediately.

Parameters:

n

 – the 1-based board instance number as returned by 

E170X_set_connection()

Return: 

E170X_OK

 or an 

E170X_ERROR_

-return code in case of an error

int E170X_set_signal_point(const unsigned char n,const unsigned int flags)

Specifies a point in data stream where execution has to stop until an external signal (mark start) is 

detected. Different to 

E170X_set_trigger_point()

 this function does not expect a rising edge but a 

specific signal at the ExtStart input. The signal and the functions behaviour can be specified with the parameter 

flags

 which can consist of the following, OR-concatenated flags:

E170X_COMMAND_FLAG_HIGH_LEVEL

 – when this flag is set, the function waits for a HIGH-leven alt the 

ExtStart input, when it is not set, it waits for a LOW-signal

E170X_COMMAND_FLAG_SILENT

 – by default, every time the function waits for a specific level, causes a state-

change by setting the state-flag 

E170X_CSTATE_WAIT_EXTSIGNAL

 and by resetting it as soon as the 

required signal was detected. According to the workign principle of the controllers states, each of these state 
changes has to be fetched by a corresponding call to 

E170X_get_card_state()

 . Now when this function to 

wait for a signal is used very often, this can cause a load of state-changes being enqueued which can’t be 
fetched by the calling application fast enough. In this situation (or whenever the waiting-state of the controller 
is not interesting to be known), the flag 

E170X_COMMAND_FLAG_SILENT

 can be set. Then the function 

operates silently without any feedback via the controllers state.
This is a stream-command, means it is executed at a point in stream that is relative to the other stream 
commands.

85

background image

Parameters:

n

 – the 1-based board instance number as returned by 

E170X_set_connection()

value

 – the signal level to wait for at ExtStart input, here 0 or 1 can be specified

Return: 

E170X_OK

 or an 

E170X_ERROR_

-return code in case of an error

int E170X_set_sync(const unsigned char n,const unsigned int flags,const unsigned 
int value)

This function sends a synchronisation 

value

 to the controller. As soon as marking reaches the related 

position in stream, the value returned by function 

E170X_get_sync()

 changes to the value given here.

This command delays execution of the data by 0,5 usec, so it should not be used excessively. A value of 
0xFFFFFFFF disables this function.
This function requires firmware version 30 or newer.

Parameters:

n

 – the 1-based board instance number as returned by 

E170X_set_connection()

flags

 – currently unused, set to 0 for future compatibility

value

 – the value to be used as sync-identifier, here on every call a different value should be handed over in 

order to differentiate what is returned by 

E170X_get_sync()

.

Return: 

E170X_OK

 or an 

E170X_ERROR_

-return code in case of an error

unsigned int E170X_get_sync(const unsigned char n)

Returns a sync-identifier as set by 

E170X_set_sync()

 as soon as the related position in stream was 

reached.
This function requires firmware version 30 or newer.

Parameters:

n

 – the 1-based board instance number as returned by 

E170X_set_connection()

Return: the last sync-identifier which was identified and processed in stream of commands or 0xFFFFFFFF 
when function is not used/turned off

int E170X_execute(const unsigned char n)

Starts execution of all previously sent commands in case card is not already outputting these data. The 

E1701 Easy Programming Interface does not use the concept of two or more lists that have to be handled and 
switched by the calling application. Nevertheless the user has to ensure the card can start marking by calling 
this function after all vector data have been sent to the card. Here it does not matter if the card is already 
executing or not, subsequent calls to 

E170X_execute()

 do not influence marking behaviour. More than this: 

in case very much data are sent to the card, it starts marking automatically after a defined fill level was reached. 
Due to this automated, fill level dependent start it would not be necessary to call 

E170X_execute()

. But in 

situations where only very few data are sent to the card, it is necessary to call this function in order to start 
marking also in these cases where the internal fill threshold is not reached and where the card would not start 
marking immediately. Thus it is recommended to always call this function after all marking data have been sent.
Marking is finished only when STOP (ExtStop signal input or 

E170X_stop_execution()

)is invoked or when 

the internal buffer is empty. When internal buffer runs empty because subsequent data are not sent fast 
enough, an additional call to 

E170X_execute()

 is necessary in order to output the remaining data.

This is not a stream command since it controls the already sent stream of commands.

Parameters:

n

 – the 1-based board instance number as returned by 

E170X_set_connection()

86

background image

Return: 

E170X_OK

 or an 

E170X_ERROR_

-return code in case of an error

int E170X_stop_execution(const unsigned char n)

Stops the currently running execution as fast as possible and drops all marking data that still may be 

queued. Calling this function also would drop all laser and scanner parameters that are already sent but not yet 
processed. Thus after calling this function it may be necessary to set scanner and laser parameters again in 
order to ensure they are used for following operations.
This is not a stream command since it controls the current stream of commands.

PLEASE NOTE:

 this function should not be called on the off-chance “to be sure nothing is running”. The 

command works asynchronously and causes a state-change which can have some unwanted side-effects when 
it is used without a specific reason. So calling the function should be done only when the controller is really in 
state marking/running, and after calling it, no other functions have to be used until the state 
(

E170X_get_card_state()

) has changed back to idle. As the stop is done as fast as possible, the point, at 

what the stream is stopped, is undefined. Means any function that has been called between the last call to 

E170X_execute()

 and 

E170X_stop_execution()

 may not have an effect and probably needs to be 

repeated.

Parameters:

n

 – the 1-based board instance number as returned by 

E170X_set_connection()

Return: 

E170X_OK

 or an 

E170X_ERROR_

-return code in case of an error

int E170X_halt_execution(const unsigned char n,const unsigned char halt)

Halts or continues the processing and output of marking data. On 

halt=1

 marking is stopped next 

time the laser is off. Different to a full stop no vector data are flushed. On continue (

halt=0

) controller 

continues processing at the point where halt occurred. When marking is stopped with 

E170X_stop_execution()

 the halt-condition is cleared too, means on next transmission of new marking 

data they are processed without the need to explicitly continue last operation. This command requires 
firmware version 16 or newer.

Parameters:

n

 – the 1-based board instance number as returned by 

E170X_set_connection()

halt

 – 1 to halt operation next time the laser is off, 0 to continue a previously halted operation

Return: 

E170X_OK

 or an 

E170X_ERROR_

-return code in case of an error

unsigned int E170X_get_startstop_state(const unsigned char n)

This function returns a bit pattern that informs about state of the start and stop input pins.

This is not a stream command since it returns the current state immediately. Here “current state” means the last 
known state. When the state changes during this call, it may be possible the previous, no longer actual state is 
given back since transmission of data from controller to host is done asynchronously and independent from a 
call to this function.

Parameters:

n

 – the 1-based board instance number as returned by 

E170X_set_connection()

Return: a bit pattern specifying the current state:

bit 0 and 1 (0x00000003) specify if the start input was set after last call of this function, when these 
bits are set, a rising edge has been detected at this input; calling this function resets the internal state 
of these bits, means when it is called again and when no new rising edge has been detected meanwhile, 
these bits will be 0

bit 2 and 3 (0x0000000C) specify if the stop input was set after last call of this function, when they are 
set, a rising edge has been detected at this input; calling this function resets the internal state of these 

87

background image

bits, means when it is called again and when no new rising edge has been detected at top input 
meanwhile, these bits will be low

bit 12 (0x00001000) this bit signals the start input is low, as long as this bit is set no start input signal is 
detected

int E170X_get_card_state(const unsigned char n,unsigned int *value)

This function returns a bit pattern that informs about cards current operational state. Here “current 

state” means the last known state. When the state changes during this call, it may be possible the previous, no 
longer actual state is given back since transmission of data from controller to host is done asynchronously and 

independent from a call to this function.
The card-states are enqueued internally in order to not to lose a “busy”-state which may be available for a very 
short time only in case of very small and fast marking cycles. So every state change caused by the calling 
application results in on state change returned by this function. This means for every marking cycle the 
application has to wait for two state changes: first wait until this function signals “busy” 
(

E170X_CSTATE_PROCESSING

|

E170X_CSTATE_MARKING

) next wait until this function signals “ready” (0).

During transfer of vector data and scanner/laser parameters this function should be called as rarely as possible: 
every call of 

E170X_get_card_state()

 performs a full cycle of transmission and receiving of data to and 

from the controller. Dependent on the current transmission state this may result in submission of a small block 
of data which does not uses the full available bandwidth. On excessive use of this function this can slow down 
the whole transfer of data.
This is not a stream command since it returns the current state immediately.

Parameters:

n

 – the 1-based board instance number as returned by 

E170X_set_connection()

state

 – pointer to a variable where the card state has to be written to: a bit pattern of or-concatenated 

constants specifying the current state:

E170X_CSTATE_MARKING

 – card is currently marking

E170X_CSTATE_PROCESSING

 – card has received some data that are enqueued for marking

E170X_CSTATE_WAS_START_PRESSED

 – the ExtStart input was triggered, this flag is cleared after it 

has bean read and is set again only when ExtStart was triggered again

E170X_CSTATE_WAS_STOP_PRESSED

 – the ExtStop input was triggered, this flag is cleared after it 

has bean read and is set again only when ExtStop was triggered again

E170X_CSTATE_FILE_WRITE_ERROR

 – this flag is returned only in case stand-alone data are written 

to the microSD card and in case an file error occurs during this procedure. As writing an EPR file is done 
as asynchronous stream, errors during this procedure are not announced by the functions which are 
called but only by this error state. For more information about writing of stand alone data please refer 
to section “9.1.1 Writing of stand-alone data”

E170X_CSTATE_WAIT_EXTTRIGGER

 – the controller is in state “marking” but is not yet processing 

any data as it is waiting for an external trigger

E170X_CSTATE_HALTED

 – the controller is in state “marking” but is not yet processing any data as it is 

currently halted by function 

E170X_halt_execution()

E170X_CSTATE_WAIT_INPUT

 – the controller is in state “marking” but is not yet processing any data 

as it is waiting for a specific input pattern at the digital inputs

E170X_CSTATE_SAC_READY

 – this flag applies only to stand-alone modes; it is similar to output 

DOut0 and signals the controller has loaded a stand-alone file and is ready for marking

E170X_CSTATE_SAC_MARKING

 – this flag applies only to stand-alone modes; it is similar to output 

DOut1 and signals the controller is marking a loaded EPR file

E170X_CSTATE_SAC_CTLXY

 – this flag applies only to stand-alone modes; it signals a “

ctlxy

” 

command was received and the related mode is active

When the function returns an error code instead of E170X_OK, this value is undefined and can't be used.

Return: 

E170X_OK

 or an 

E170X_ERROR_

-return code in case of an error

int E170X_delay(const unsigned char n, double delay)

88

background image

Pause marking for the given time.

This is a stream-command, means it is executed at a point in stream that is relative to the other stream 
commands.

Parameters:

n

 – the 1-based board instance number as returned by 

E170X_set_connection()

delay

 - time to wait until marking continues in unit usec, smallest possible value is 0,500 usecs

Return: 

E170X_OK

 or an 

E170X_ERROR_

-return code in case of an error

int E170X_set_laser_timing(unsigned char n, double frequency, double pulse)

Set the frequency and pulse-width to be used during marking at LaserA output of LP8 Extension Board 

or Digital XY2-100 Baseboard.
This is a stream-command, means its parameters are applied at a point in stream that is relative to the other 
stream commands.

Parameters:

n

 – the 1-based board instance number as returned by 

E170X_set_connection()

frequency

 – emitted frequency in unit Hz and in range 25..20000000 Hz

pulse

 – pulse width in usec, this value has to be smaller than period length that results out of frequency

Return: 

E170X_OK

 or an 

E170X_ERROR_

-return code in case of an error

int E170X_set_standby(const unsigned char n,const double frequency,const double 
pulse, const bool force)

Set the frequency and pulse-width to be used during jumps, as stand-by frequency or as continuously 

running frequency at LaserA output of LP8 Extension Board or Digital XY2-100 Baseboard.
This is a stream-command, means its parameters are applied at a point in stream that is relative to the other 
stream commands.

Parameters:

n

 – the 1-based board instance number as returned by 

E170X_set_connection()

frequency

 – emitted frequency in unit Hz and in range 25..20000000 Hz. When a value of 0 is given, the 

frequency at LaserA output is turned off at end of mark.

pulse

 – pulse width in usec, this value has to be smaller than period length that results out of 

frequency

force

 – when set to true, the new stand-by frequency is not applied the next time the laser is turned off, but 

immediately

Return: 

E170X_OK

 or an 

E170X_ERROR_

-return code in case of an error

int E170X_set_laserb(const unsigned char n,const double frequency,const double 
pulse)

Set the frequency and pulse-width to be used at LaserB output of LP8 Extension Board or Digital XY2-

100 Baseboard. To use LaserB as second frequency output, a laser mode with flag 

E170X_LASERMODE_DFREQ

 

has to be configured.
This is a stream-command, means its parameters are applied at a point in stream that is relative to the other 
stream commands.
This function requires firmware version 19 or newer.

Parameters:

n

 – the 1-based board instance number as returned by 

E170X_set_connection()

frequency

 – emitted frequency in unit Hz and in range 25..20000000 Hz

pulse

 – pulse width in usec, this value has to be smaller than period length that results out of frequency

Return: 

E170X_OK

 or an 

E170X_ERROR_

-return code in case of an error

89

background image

int E170X_set_fpk(const unsigned char n, double fpk, double yag3QTime)

Set the parameters for first pulse killer signal that is emitted via LP8 Extension Board or Digital XY2-

100 Baseboard whenever the laser is turned on; this applies to YAG-modes only and is emitted as one single 
pulse at LaserB output.
This is a stream-command, means its parameters are applied at a point in stream that is relative to the other 
stream commands.

Parameters:

n

 – the 1-based board instance number as returned by 

E170X_set_connection()

fpk

 – the length of the first pulse killer signal in usec

yag3QTime

 – the length of the first pulse killer signal in usec, this value is used only when laser mode 

E170X_LASERMODE_YAG3

 is set, elsewhere it is ignored

Return: 

E170X_OK

 or an 

E170X_ERROR_

-return code in case of an error

int E170X_get_free_space(const unsigned char n,int buffer)

This function returns the space (in unit "commands") that is free in one of the buffers of E1701. Here 

parameter 

buffer

 decides which buffer has to be checked.

Parameters:

n

 – the 1-based board instance number as returned by 

E170X_set_connection()

buffer

 – expects a constant which decides what buffer has to be checked, it has to be set to one of the 

following values:

E170X_FREE_SPACE_PRIMARY

 – return size of the primary buffer; it can be used to avoid memory on 

host system is filled which may happen when vector data are sent to the controller while it's internal 
buffers are already full. In this case these data would have been stored on host side consuming some 
memory there. Using this function this problem can be avoided by sending commands only in case this 
function returns a value that is (much) larger than 0.
The primary buffer that can be checked by using this value is one of two available buffers on E1701 
controller. The primary one has a size of 900000 and is used to feed the secondary buffer (with a size of 
17 million). So when this function returns 900000, this does not mean the buffer is empty and no 
vector data currently processed – they still may be stored in secondary buffer. So to check the 
operational state of the controller, only function 

E170X_get_card_state()

 can be used.

This buffer has also to be checked when function 

E170X_release_trigger_point()

 is used in 

order to ensure the command can arrive at the controller. For a detailed description please refer to 
explanation of 

E170X_release_trigger_point()

 above.

E170X_FREE_SPACE_SECONDARY

 – return size of the secondary buffer; this one is filled by data from 

primary buffer and contains raw commands (like single micro vectors that concatenate to a full vector 
during output).

Return: -1 in case the function failed or the amount of free space in primary buffer.

void E170X_get_version(const unsigned char n, unsigned short *hwVersion, 
unsigned short *fwVersion)

Get the hardware and software version of the used board. It is recommended to call this function after 

successful connect always and check if used hardware and firmware version is at least a version that is known 
to work with own software.
This is not a stream command, it is executed immediately and independent from all other commands.

Parameters:

n

 – the 1-based board instance number as returned by 

E170X_set_connection()

hwVersion

 – pointer to a variable where the hardware revision/version number is written into

90

background image

fwVersion

 – pointer to a variable where the revision/version number of the firmware running on the board is 

written into

const int E170X_get_library_version()

Returns an integer value which is an identifier specifying the version of this shared library. In decimal 

notation this identifier uses format "Mmmrrr" where "M" is the major version, "m" the minor version number 
and "r" the release count. The bigger the whole returned number is, the newer the library is.

int E170X_get_serial_number(const unsigned char n,char *serial,const int length)

Reads the serial number of the used board and returns it as 7 bit ASCII data.
This is not a stream command, it is executed immediately and independent from all other commands.
This function requires a firmware version 39 or newer.

Parameters:

n

 – the 1-based board instance number as returned by 

E170X_set_connection()

serial

 – pointer to a char-array where the serial number has to be stored into, this memory area needs to 

have a size of at least 40 bytes

length

 – available length of the memory area where 

serial

 points to

Return: 

E170X_OK

 or an 

E170X_ERROR_

-return code in case of an error

int E170X_lp8_write(const unsigned char n, unsigned int flags, unsigned char 
value)

Sets the LP8_0..LP8_7 outputs of 8 bit laser port of LP8 Extension Board without touching the related 

latch output. Total execution time of this command during processing on controller is 1 usec.
This function does not change the value at the analogue AOut0 output of LP8 Extension Board.
Depending on the value of parameter flags this is either a stream-command (means it is executed at a point in 
stream that is relative to the other stream commands) or a direct command (means it is executed immediately 
on calling). This command requires firmware version 16 or newer.

Parameters:

n

 – the 1-based board instance number as returned by E170X_set_connection()

flags

 – handling flags specifying the behaviour of this command, 

E170X_COMMAND_FLAG_STREAM

 to use it 

as stream command, 

E170X_COMMAND_FLAG_DIRECT

 to execute it immediately and independent on current 

stream and execution state

value

 – the 8 bit value to be set at LP8 port

Return: 

E170X_OK

 or an 

E170X_ERROR_

-return code in case of an error

int E170X_lp8_write_latch(const unsigned char n, unsigned char on, double 
delay1,unsigned char value, double delay2,double delay3)

Sets the LP8 8 bit laser port of LP8 Extension Board with freely definable delays and toggles the 

related latch output automatically; calling this function causes the following sequence of commands:

turn latch bit on/off

wait for 

delay1

 usecs

set LP8

wait for 

delay2

 usecs

turn latch bit off/on

wait for 

delay3

 usecs

The whole execution time of this sequence on the controller is is 1.5 usecs for setting LP8 outputs and toggling 
latch plus 

delay1

 plus 

delay2

 plus 

delay3

. Depending on the value of parameter "

on

" this function may or 

may not set the analogue AOut0 output successfully.

91

background image

This is a stream-command, means it is executed at a point in stream that is relative to the other stream 
commands.

Parameters:

n

 – the 1-based board instance number as returned by 

E170X_set_connection()

on

 – specifies if the latch bit has to be set to HIGH (on=1) or LOW (on=0) on first step, on second step it will 

toggle to value 

!=on

delay1

 – delay to be issued after setting/clearing the latch bit for the first time

value

 – the 8 bit value to be set at LP8 port

delay2

 – delay to be issued after setting LP8 output and before clearing/setting the latch bit

delay3

 – delay to be issued after clearing/setting the latch bit for the second time

Return: 

E170X_OK

 or an 

E170X_ERROR_

-return code in case of an error

int E170X_lp8_write_mo(const unsigned char n, const unsigned flags, const 
unsigned char on)

Sets the main oscillator output MO of LP8 Extension Board to be used with e.g. fiber lasers.

Depending on the value of parameter flags this is either a stream-command (means it is executed at a point in 
stream that is relative to the other stream commands) or a direct command (means it is executed immediately 
on calling).

Parameters:

n

 – the 1-based board instance number as returned by 

E170X_set_connection()

flags

 – handling flags specifying the behaviour of this command, 

E170X_COMMAND_FLAG_STREAM

 to use it 

as stream command, 

E170X_COMMAND_FLAG_DIRECT

 to execute it immediately and independent on current 

stream and execution state

on

 – the state the MO output has to be switched to; PLEASE NOTE: the main oscillator depends on the current 

internal state of the laser. Thus turning it on is always possible but turning off the MO is possible only when the 
controller is not yet handling the laser-off delay, means it is not possible as long as the laser is turned on. In such 
a case this command is ignored.

Return: 

E170X_OK

 or an 

E170X_ERROR_

-return code in case of an error

int E170X_lp8_ana_write(const unsigned char n,const unsigned int flags,const 
unsigned short value)

Sets the analogue output AOut0 of LP8 Extension Board. This also changes the state of LP8_0..LP8_7 

outputs and toggles the LP8 latch. Total execution time of this command on the controller is 1 usec.
Depending on the value of parameter 

flags

 this is either a stream-command (means it is executed at a point in 

stream that is relative to the other stream commands) or a direct command (means it is executed immediately 
on calling). Beside of that, for upwards compatibility reasons, it is always required to OR-concatenate the 
command flag with the additional flag  

E170X_COMMAND_FLAG_ANA_AOUT0

 which specifies the analogue 

output to be used.
This command requires firmware version 16 or newer.

Parameters:

n

 – the 1-based board instance number as returned by 

E170X_set_connection()

flags

 – handling flags specifying the behaviour of this command, 

E170X_COMMAND_FLAG_STREAM

 to use it 

as stream command, 

E170X_COMMAND_FLAG_DIRECT

 to execute it immediately and independent on current 

stream and execution state

value

 – the 8 bit value to be set at analogue output port

Return: 

E170X_OK

 or an 

E170X_ERROR_

 return code in case of an error

92

background image

int E170X_digi_write(const unsigned char n, unsigned int flags, unsigned int 
value, unsigned int mask)

Sets the 8 bit digital output port of Digi I/O Extension Board.
Depending on the value of parameter 

flags

 this is either a stream-command (means it is executed at a point in 

stream that is relative to the other stream commands) or a direct command (means it is executed immediately 
on calling). This command requires firmware version 16 or newer.
Parameters:

n

 – the 1-based board instance number as returned by 

E170X_set_connection()

flags

 – handling flags specifying the behaviour of this command, 

E170X_COMMAND_FLAG_STREAM

 to use it 

as stream command, 

E170X_COMMAND_FLAG_DIRECT

 to execute it immediately and independent on current 

stream and execution state

mask

 – specifies which of the bits in "value" have to be used for setting and clearing output data, only these bits 

that are set to 1 in 

mask

 are changed according to the given 

value

value

 – the 8 bit value to be set at digital out port

Return: 

E170X_OK

 or an 

E170X_ERROR_

 return code in case of an error

int E170X_digi_pulse(const unsigned char n, const unsigned int flags, const 
unsigned int in_value, const unsigned int mask, const unsigned int pulses, const 
double delayOn, const double delayOff)

Send a sequence of pulses to the 8 bit digital output port of Digi I/O Extension Board. This command requires 
firmware version 16 or newer. When the controller works with a firmware version 32 or later, this operation 
causes nearly no data transmission load.
This command is available as stream-command only (means it is executed at a point in stream that is relative to 
the other stream commands).
Parameters:

n

 – the 1-based board instance number as returned by 

E170X_set_connection()

flags

 – currently only 

E170X_COMMAND_FLAG_STREAM

 is supported here

mask

 – specifies which of the bits in "value" have to be used for setting and clearing output data, only these bits 

that are set to 1 in 

mask

 are changed according to the given 

value

value

 – the 8 bit value to be set at digital out port

pulses

 – specifies how often the output has to be set/cleared

delayOn

 – the delay (in unit usec) which has to be issued every time after setting the output, the minimal 

resolution of this value is 0,5 usec

delayOff

 – the delay (in unit usec) which has to be issued every time after clearing the output, the minimal 

resolution of this value is 0,5 usec

Return: 

E170X_OK

 or an 

E170X_ERROR_

 return code in case of an error

int E170X_digi_read(const unsigned char n,const unsigned char flags,unsigned int 
*value)

Reads the 8 bit digital input port of Digi IO Extension Board.

This is not a stream-command, means it is executed immediately and returns current known state of the digital 
inputs.
When parameter 

flags

 is set to 0, the state of the digital inputs is requested actively which results in a 

separate data transmission to the controller card. On excessive use of this command, that may slow down 
communication with the controller dramatically. Alternatively 

flags

 can be set to 

E170X_COMMAND_FLAG_PASSIVE

 which does not cause such a request. Instead of this the last known state of 

the digital inputs is returned by this function based on the last regular feedback from the controller or based on 
the last call to this function with this passive-flag not set. So when this flags is used, the returned 

value

 may be 

several hundred milliseconds old.
When marking on the fly is enabled using function 

E170X_digi_set_motf()

, digital inputs 0 and 1 and 

optionally also digital inputs 2 and 3  are used for MOTF-encoder and therefore not available as standard 
inputs. In this case state of these bits is undefined and does not reflect the current input state caused by the 
external encoder.

93

background image

Parameters:

n

 – the 1-based board instance number as returned by 

E170X_set_connection()

value

 – pointer to a variable where the current digital input state has to be written into.

When the function returns an error code instead of E170X_OK, this value is undefined and can't be used.

Return: 

E170X_OK

 or an 

E170X_ERROR_

-return code in case of an error

int E170X_digi_wait(const unsigned char n,unsigned long value,unsigned long 
mask)

Stop execution and output of data until the given bitpattern was detected at digital inputs of Digit I/O 

Extension board. Here parameter 

mask

 specifies which of the bits at the input have to be checked, they have to 

be set to 1. These bits within 

mask

 that need to be ignored have to be set to 0. Parameter 

value

 itself defines 

the states of the bits that has to be detected at the input to continue processing of data. All bits of 

value

 that 

correspond to bits of 

mask

, that are 0, are ignored.

Parameters:

n

 - the 1-based board instance number as returned by 

E170X_set_connection()

value

 – the expected bitpattern at digital input

mask

 – specifies which of the input bits and value bits have to be used for comparison

Return: 

E170X_OK

 or an 

E170X_ERROR_

-return code in case of an error

int E170X_digi_set_motf(const unsigned char n, double motfX, double motfY)

Disables or enables marking on-the-fly functionality and specifies factors for X- and Y-direction. When 

this function is called with values for 

motfX

 or 

motfY

 greather than 0, marking on-the-fly is enabled and digital 

inputs 0 and 1 of DigiIO Extension Board are no longer available as general purpose inputs. Now they are used 
as decoder inputs for a 90 degree phase shifted encoder signal for marking on-the-fly applications. When both 
parameters 

motfX

 and 

motfY

 are set to 0, marking on-the-fly is disabled and inputs 0 and 1 no longer work as 

encoder inputs.
When tune flag “2” is set (requires firmware 25 or higher), the two factors for X and Y are assigned to separate 
encoder inputs. Here factor for X applies to values received on digital inputs 0 and 1 and factor for Y applies to 
values received on digital inputs 2 and 3.
This is not a stream-command, means it switches states of digital inputs 0 and 1 (plus optionally 2 and 3) and 
marking on-the-fly functionality immediately.
Parameters:

n

 – the 1-based board instance number as returned by 

E170X_set_connection()

motfX

 – marking on-the-fly factor for X-direction in unit bits per encoder increment

motfY

 – marking on-the-fly factor for Y-direction in unit bits per encoder increment

Return: 

E170X_OK

 or an 

E170X_ERROR_

-return code in case of an error

int E170X_digi_set_motf_sim(const unsigned char n, double motfX, double motfY)

Disables or enables simulated marking on-the-fly functionality and specifies factors for X- and Y-

direction. When this function is called with values for 

motfX

 or 

motfY

 greather than 0, simulated marking on-

the-fly is enabled and internal 100 kHz signal generator is used to create static marking on-the-fly pulses in 
positive direction. A possibly enabled on-the-fly operation using external signals on digital inputs 0 and 1 of Digi 
I/O Extension Board is disabled. When both parameters 

motfX

 and 

motfY

 are set to 0, marking on-the-fly 

simulation is disabled completely.
This is not a stream-command, means it enables simulated marking on-the-fly functionality immediately.
Parameters:

n

 – the 1-based board instance number as returned by 

E170X_set_connection()

motfX

 – marking on-the-fly factor for X-direction in unit bits suitable for to be simulated movement-speed on 

100 kHz encoder counting frequency

motfY

 – marking on-the-fly factor for Y-direction in unit bits suitable for to be simulated movement speed on 

100 kHz encoder counting frequency

94

background image

Return: 

E170X_OK

 or an 

E170X_ERROR_

-return code in case of an error

int E170X_digi_wait_motf(const unsigned char n, const unsigned int flags, const 
double dist)

Halts the current marking operation for a given distance of the on-the-fly encoder. Different to 

E170X_delay()

 this function does not use a time to wait until marking is continued but a distance specified 

by parameter 

dist

 and measured by the connected encoder. To use this function marking on-the-fly has to be 

enabled by calling 

E170X_digi_set_motf()

 or 

E170X_digi_set_motf_sim()

 before.

This command is useful for marking on-the-fly applications where several vector data have to be marked which 
in total are larger than the available working area of the scanhead (e.g. when marking long texts on a cable). For 
this the vector data to be marked have to be concatenated in suitable pieces where each piece is smaller than 
the available working area. Then these pieces can be marked consecutively with following sequence of 
commands:

1.

E170X_set_trigger_point()

 (used only once at the very beginning to define the starting point 

and to initialise internal MOTF counters). This trigger point later has to be released either by applying 
an ExtStart signal or by calling function 

E170X_release_trigger_point()

2.

E170X_digi_wait_motf()

 to wait for the beginning of the first piece of vector data to be marked, 

the given distance is equal to the distance from the starting point in 1)

3.

E170X_jump_abs()

/

E170X_mark_abs()

 for vector data of character to be marked; here one piece 

of the whole set of vector data has to be sent to the controller

4.

E170X_digi_wait_motf()

 to wait for the distance until next set of vector data; here the distance 

between the starting points of two pieces of vector data has to be given

5. continue at 3) until all pieces of vector data have been sent

This is a stream-command, means it is executed at a point in stream that is relative to the other stream 
commands. It requires firmware version 23 or newer.
Parameters:

n

 – the 1-based board instance number as returned by 

E170X_set_connection()

flags

 – specifies how the distance value is handed over, with 

E170X_COMMAND_FLAG_MOTF_WAIT_INCS

 a 

value in unit “encoder increments” is expected, with 

E170X_COMMAND_FLAG_MOTF_WAIT_BITS

 a distance in 

unit “bits” is expected. In second case the X-on-the-fly factor of a preceding call to 

E170X_digi_set_motf()

 

or 

E170X_digi_set_motf_sim()

 is used.

dist

 – the distance to wait for until marking has to be completed, the unit of this value is specified with 

preceding parameter 

flags

Return: 

E170X_OK

 or an 

E170X_ERROR_

-return code in case of an error

int E170X_digi_set_mip_output(const unsigned char n,unsigned int value,unsigned 
int flags)

This function can be used to specify which of the digital outputs has to be used for signalling "marking 

in progress". When 

value

 is set to 0xFFFFFFFF and LaserB is configured as GPO, this output is used for 

signalling. When it is set to 0xFFFFFFF0, this function is disabled and scanner controller card does not provide 
this signal automatically. When the number of the digital output (in range 0..7) is given as 

value

, the related 

digital output pin is used for "mark in progress" signal.
PLEASE NOTE: here the number (means the count) of one specific output pin has to be given, not a bitpattern 
specifying one or more pins!
During operation the selected "mark in progress" pin is HIGH as long as the scanner is moving and/or the laser 
is on and/or a delay is processed and when marking parameter are processed between these operations. It 
becomes LOW as soon as no more marking data are available and current operation is stopped or when scanner 
is waiting for an external trigger signal (ExtStart).
This is not a stream-commando, when it is called it is applied to current configuration immediately.

Parameters:

n

 – the 1-based board instance number as returned by 

E170X_set_connection()

value

 – the number of the digital output to be used for this signal

95

background image

flags

 - currently unused, set always to 0 for compatibility

Return: 

E170X_OK

 or an 

E170X_ERROR_

-return code in case of an error

int E170X_digi_set_wet_output(const unsigned char n,const unsigned int 
value,const unsigned int flags)

This function can be used to specify which of the digital outputs has to be used for signalling "waiting 

for external trigger". When 

value

 is set to 0xFFFFFFFF and LaserB is configured as GPO, this output is used 

for signalling. When it is set to 0xFFFFFFF0, this function is disabled and scanner controller card does not 
provide this signal automatically. When the number of the digital output (in range 0..7) is given as 

value

, the 

related digital output pin is used for "waiting for external trigger" signal.
PLEASE NOTE: here the number (means the count) of one specific output pin has to be given, not a bitpattern 
specifying one or more pins!
During operation the selected "waiting for external trigger" pin is HIGH as long as the controller is waiting for 
an external trigger to be applied at ExtStart input. It becomes LOW as soon as this signal has been detected or 
when current operation is stopped.
This is not a stream-command, when it is called, it is applied to current configuration immediately.
This function requires firmware version 21 or newer.

Parameters:

n

 – the 1-based board instance number as returned by 

E170X_set_connection()

value

 – the number of the digital output to be used for this signal

flags

 – currently unused, set always to 0 for compatibility

Return: 

E170X_OK

 or an 

E170X_ERROR_

-return code in case of an error

int E170X_write(const unsigned char n,unsigned int flags,unsigned int value)

Writes some specific data to outputs at E1701D controller. Here 

flags

 decides which output to use 

and 

value

 specifies what has to be written to this output. Additionally 

flags

 decides weather this is a stream-

command (means it is executed at a point in stream that is relative to the other stream commands) or a direct 
command (means it is executed immediately on calling).
This command requires firmware version 17 or newer.

Parameters:

n

 – the 1-based board instance number as returned by 

E170X_set_connection()

flags

 – handling flags specifying the behaviour of this command, when 

E170X_COMMAND_FLAG_STREAM

 is 

set, it is used as stream command, 

E170X_COMMAND_FLAG_DIRECT

 specifies to execute it immediately and 

independent on current stream and execution state. Here exactly one of these two flags can be used, it is not 
allowed to OR-concatenate them. Additionally exactly one of the following flags has to be set to specify which 
output need to be used to send the 

value

 to, this flag has to be OR-concatenated with one of the previously 

described ones:

E170X_COMMAND_FLAG_WRITE_LP8MO

 – set or unset MO-output of LP8 Extension Board to a value 

of 1 or 0

E170X_COMMAND_FLAG_WRITE_LP8LATCH

 – set or unset latch-output of LP8 Extension Board to a 

value of 1 or 0

E170X_COMMAND_FLAG_WRITE_LASERA_GPO

 – set or unset LaserA-output to a value of 1 or 0, this 

option requires the LaserA output to be configured as GPO-output; for details please refer to 
description of "tune" parameters

E170X_COMMAND_FLAG_WRITE_LASERB_GPO

 – set or unset LaserB-output to a value of 1 or 0, this 

option requires the LaserB output to be configured as GPO-output; for details please refer to 
description of "tune" parameters

E170X_COMMAND_FLAG_WRITE_LASERGATE

 – set or unset LaserGate-output to a value of 1 or 0, 

this functions should be used with jump or mark operations only since every switch from jump to mark 
(or vice versa) still sets the LaserGate output automatically and therefore would overwrite own values 
set with this function

value

 – the value to be sent to the output specified by flags

96

background image

Return: 

E170X_OK

 or an 

E170X_ERROR_

-return code in case of an error

int E1701_ana_a123(const unsigned char n,const unsigned short a1,const unsigned 
short a2,const unsigned short a3)

This function can be used to set the analogue outputs AOut1, AOut2 and AOut3 of the E1701A 

controller.
This is a stream-command, means its parameters are applied at a point in stream that is relative to the other 
stream commands.

Parameters:

n

 – the 1-based board instance number as returned by 

E170X_set_connection()

a1

 – a 16 bit value specifying the output value at the AOut1 analogue output, independent from the real 

hardware resolution here always full 16 bit range has to be used

a2

 – a 16 bit value specifying the output value at the AOut2 analogue output, independent from the real 

hardware resolution here always full 16 bit range has to be used

a3

 – a 16 bit value specifying the output value at the AOut3 analogue output, independent from the real 

hardware resolution here always full 16 bit range has to be used
Return: 

E170X_OK

 or an 

E170X_ERROR_

-return code in case of an error

9.1.1 Writing of stand-alone data

Using E1701 Easy Programming Interface it is also possible to write stand-alone data which are not marked 
immediately but are stored either locally or on scanner controller's micro-SD-card. In this mode sending of 
vector data, scanner- and laser parameters looks exactly the same as for direct operation mode where data are 
marked immediately. The difference can be found in initialisation (which tells the software to not to mark these 
data but to store them for later use) and when dynamic data are created.

E1701 supports two types of writing of stand-alone data:

sending them to the controller via Ethernet or USB connection where they are written to micro-SD-
card and

writing one or more files to the local file system which later have to be copied to the micro-SD-card of 
the controller manually.

The general procedure for sending stand-alone data to the controller's micro-SD-card has to look as follows:

1. The controller needs to be in idle-state, means it should not mark and should not have loaded an 

already existing .EPR file. This can be ensured by calling stand-alone command 

clepr

 with a filename 

for a file that does not exists on micro-SD-card. For more details please refer to “8.2 Stand-Alone 
Control Commands“

2. Configure the connection to E1701 controller by calling 

E170X_set_connection()

, the returned 

board instance number has to be used for all following function calls.

3. Enable stand-alone write mode and specify the filename of the .EPR file to be created on micro-SD-card 

by calling 

E170X_set_filepath()

 with mode 

E170X_FILEMODE_SEND

.

4. Send all laser- and scanner-parameters as well as vector data as usual.
5. Optionally: send information about dynamic contents of the .EPR file to be created by calling 

E170X_dynamic_data2()

 optionally followed by some vector data followed by an other call to 

function 

E170X_dynamic_data2()

 which ends this section of dynamic data (please refer function 

description below for details).

6. Wait until 

E170X_get_card_state()

 returns “busy”

7. Wait until 

E170X_get_card_state()

 returns “idle” or an error

8. End data transmission and finish created file by calling 

E170X_close()

.

The general procedure for writing stand-alone data to the local filesystem has to look as follows:

97

background image

1. Since writing of local data does not require a working connection to the controller card, it does not 

need to be configured and the special board instance number 0 has to be used for all following function 
calls.

2. Enable stand-alone write mode and specify the filename of the .EPR file to be created by calling 

E170X_set_filepath()

 with mode 

E170X_FILEMODE_LOCAL

.

3. Send all laser- and scanner-parameters as well as vector data as usual.
4. Optionally: send information about dynamic contents of the .EPR file to be created by calling 

E170X_dynamic_data2()

 optionally followed by some vector data followed by an other call to 

function 

E170X_dynamic_data2()

 which ends this section of dynamic data (please refer function 

description below for details).

5. End data transmission and finish created file by calling 

E170X_close()

.

The functions which are specific to writing of stand-alone data have to be used as follows:

int E170X_set_filepath(const unsigned char n,const char *fname,unsigned int 
mode)

This function enables operation mode where all following data are not marked immediately but written 

into an .EPR stand-alone file. This mode stays active until next call of 

E170X_close()

. It has to be called prior 

to 

E170X_load_correction()

. Valid parameters and their meaning depends on the usage scenario:

when sending stand-alone data to a connected controller which writes the .EPR file to the micro-SD-
card directly:

n

 – the 1-based board instance number as returned by 

E170X_set_connection()

fname

 – name of the file as it has to appear on micro-SD-card of the controller in style 

“0:/filename.epr” where “0:/” is a fixed prefix specifying the micro-SD-card, “filename” is a free to 
choose name with recommended 8 characters at max and “.epr” is a fixed, mandatory file extension 
specifying an E1701 stand-alone file

mode

 – set to 

E170X_FILEMODE_SEND

 to specify the data have to be sent to the controller

when writing stand-alone data to the local filesystem (no controller card directly involved):

n

 – board instance number, has to be set to 0 (as well as for all other function calls in this mode)

fname

 – name of the file to be written, this has to be a valid path to a location on a local filesystem 

which is writable and needs to have file extension “.epr”

mode

 – set to 

E170X_FILEMODE_LOCAL

 to specify the data have to be written locally

Return: 

E170X_OK

 or an 

E170X_ERROR_

-return code in case of an error

int E170X_dynamic_data2(const unsigned char n,struct oapc_bin_struct_dyn_data2 
*dynData)

This function can be used to write dynamic data such as texts, serial numbers, barcodes which later can 

be changed during operation in stand-alone mode.
This function always has to be called in fixed sequences:

1. jump to the start position of the dynamic element by calling 

E170X_jump_abs()

2. first call of 

E170X_dynamic_data2(n,dynData)

 with a valid 

dynData

 parameter describing the 

dynamic content and its capabilities

3. optionally and dependent on type of dynamic data that have to be created: some vector data which 

belong to the dynamic content and are required to build it up

4. second call of 

E170X_dynamic_data2(n,NULL)

 with NULL handed over for parameter 

dynData

 to 

finish this element

A stand-alone file can contain up to ten dynamic data elements. So this function can be called up to ten times to 
create a new element on each call.

When this function is called, beside the .EPR-file an additional .DAT file is created which contains some specific 
data. During operation in stand-alone mode an other file with the same name and with extension .SER may be 

created which contains counting information of an included serial number. All these files belong together and 
deleting one or more of them may lead to unexpected results. When writing the data to local filesystem it also 
has to be ensured both, the .EPR and the .DAT fiel are copied to the controller later.

98

background image

The structure 

oapc_bin_struct_dyn_data2

 is defined in file “oapc_libio.h” which is part of the OpenSDK. 

The general usage is described in OpenSDK manual, both are available for download at 

https://halaser.systems/download.php

.

For E1701 scanner controller card following specific parameters and features of this structure can to be used:

Independent from what kind of dynamic element has to be created, following members of structure 

oapc_bin_struct_dyn_data2

 

always have to be filled

 with data:

UID – and unique identifier which can be created out of a plain, human readable text which should be unique 

too and later can be used to access this specific element via stand-alone control commands; this 
identifier has to created out of the 8 bit ASCII character using following CRC-function:

#define

 

POLY

 0x82f63b78

/* CRC-32 (Ethernet, ZIP, etc.) polynomial in reversed bit order. */

unsigned

 

int

 

crc32b

(

const

 

char

 *

buf

)

{
   

int

          

k

;

   

unsigned

 

int

 

crc

=0xFFFFFFFF;

   

size_t

       

len

=

strlen

(

buf

);

   

while

 (

len

--) 

   {
      

crc

^=*

buf

++;

      

for

 (

k

=0; 

k

<8; 

k

++)

       

crc

=

crc

&1 ? (

crc

>>1)^

POLY

 : 

crc

>>1;

   }
   

return

 ~

crc

;

}

uScaleX

 – scaling factor in X-direction in unit 1/1000000

uScaleY

 – scaling factor in Y-direction in unit 1/1000000

res1a

res1b

res2

res3

res4

res5

res6

res7

 – these members are reserved for later use and all have

to be set to 0

Every dynamic element can be a 

serial number

. In such a case the serial number part of structure 

oapc_bin_struct_dyn_data2

 has to be filled with data:

fmtString

 – an ASCII text with a maximum length of 

DYN_DATA_MAX_STRING_LENGTH

 describing the 

format of the serial number/date/time in the dynamic element, here the same notation has to be used 
as it is known from the serial number input element of BeamConstruct (please refer to the related 
manual)

snBeatCount

 – specifies how much numbers of mark operations have to elapse before the serial number has 

to be incremented, here a value of 1 has to be given to increment on every operation

snBeatOffset

 – specifies a counting offset for the beat count parameter

snIncrement

 – specifies the step width by which a serial number has to be incremented

snNumericBase

 – the numeric base of the serial numbers to be displayed, default is 10 for decimal numbers

snResetAtTime

 – the time value at which the serial number has to be reset to it's initial value; set to a 

timestamp (in unit day of week/date/seconds) when it has to be reset at a given time

snResetAtValue

 – the numeric value at which the serial number has to be reset to it's initial value

snFlags

 – a set of OR-concatenated flags which further specifies handling of the serial number:

0x0002 – reset the serial number at a specific counting value specified by 

snResetAtValue

0x0004 – reset the serial number at a specific day of the week specified by 

snResetAtTime

0x0008 – reset the serial number at a specific date specified by 

snResetAtTime

0x0010 – reset the serial number at a specific time of the day specified by 

snResetAtTime

snStartValue

 – the initial- and reset-to-value of the serial number

snMinDigits

 – the minimum number of digits the serial number has to consist of

timeOffset

 – a static offset (in unit seconds) to be added to the time-part of the current element

99

background image

Dynamic 

text elements

 additionally need to fill following parts of the same structure 

oapc_bin_struct_dyn_data2

:

fmtString

 – an ASCII text with a maximum length of 

DYN_DATA_MAX_STRING_LENGTH

 which contains the

text to be shown and which can be changed by appropriate stand-alone commands later; when used in
combination with serial number data, here a format-string has to be given as described above

type

 – a number which specifies the font to be used for creating the dynamic texts, here one of following 

values can be used:

0x01000000

 – use “Rect Single” laser font

0x02000000

 – use “Rect Double” laser font

0x03000000

 – use “Roman Simple” laser font

0x04000000

 – use “Roman Double” laser font

0x05000000

 – use “Script Simple” laser font

0x06000000

 – use “Script Double” laser font

0x07000000

 – use “Script Complex” laser font

0x08000000

 – use “Times Simple” laser font

0x09000000

 – use “Times Bold” laser font

0x0A000000

 – use “Times Italic” laser font

0x0B000000

 – use “Times Italic Bold” laser font

flags

 – some OR-concatenated flags which specify orientation, alignment and style of the text to be

generated, here no two flags of same type are allowed to be combined which would conflict with each 
other:

0x00000000

 – orient text left to right

0x00010000

 – orient text right to left

0x00020000

 – orient text top to bottom

0x00030000

 – orient text bottom to top

0x00000000

 – horizontally align to the left

0x00000100

 – centre-align horizontally

0x00000200

 – horizontally align to the right

0x00000001

 – style fixed char-size – all characters are forced to have same distance

param1

 – kerning value in unit 1/1000%

param2

 – reserved for future use, set to 0

param3

 – spacing in unit 1/1000%

Dynamic 

DataMatrix barcode elements

 require vector data to be sent between two calls of function 

E170X_dynamic_data2()

, these vector data describe the pattern which has to be marked to create one 

single element (means square) of the DataMatrix barcode. Such an element needs to incorporate all that is 
needed including laser- and scannerdata as well as vector data for outline and possible hatches. During stand-
alone operation the barcode itself is created by combining these single elements at these positions, where a bit 
(=square) has to be set).
Additionally following data of the structure 

oapc_bin_struct_dyn_data2

 need to be filled for this type of 

element:

fmtString

 – an ASCII text with a maximum length of 

DYN_DATA_MAX_STRING_LENGTH

 which contains the

text to be encoded as DataMatrix barcode and which can be changed by appropriate stand-alone
commands later; when used in combination with serial number data, here a format-string has to be
given as described above

type

 – set to 71 for DataMatrix barcode

flags

 – some OR-concatenated flags which further specify how the barcode has to be created, currently only 

one flag is supported:
0x0001 – create a square-shaped DataMatrix barcode instead of a rectangular one

param1

 – set to 0

param2

 – set to -1

param3

 – specifies the size to be generated (in range 2..30) and implicitly the error correction level

100

background image

quietZone

 – zone the barcode has to be surrounded with, the value given here is the multiple of the width of a 

single token multiplied with 1000

9.1.1.1 Example

Following a (simplified) example in some pseudo-code is given which demonstrates the correct usage of the 
programming interface to write stand-alone data. The laser- and scanner-parameters are dropped in this 
example since they are not specific to this operation mode and always have to be set.

Example: A serial number in format “000/hh/mm” where “000” is a continuously increased number, “hh” is the 
current hour and “mm” is the current minute has to be encoded into a DataMatrix barcode which has a size of 
25x25 mm and is positioned at -30x30 mm within a 100x100 mm working area that itself is aligned to 
coordinates -50,50

1. not shown here: initialisation of libe1701 (with evaluation of parameter 

boardIdx

), sending of default 

scanner and laser data as usual

2.

E170X_jump_abs(boardIdx, -20132659, 20132659, 0)

 // jump to the starting position of 

the DataMatrix barcode to be created

3.

E170X_dynamic_data2(boardIdx, dynData)

 // initiate the dynamic data sequence, here the 

members of dynData are set to following values:

UID 

  = 2340633892

 – CRC-value of element name “Barcode 1”

fmtString 

  = "$S/%I/%M"

 – display serial number, hour and minute

type 

  = 71

 – DataMatrix barcode

flags 

  = 1

 – barcode forced to square

param2 

  = 4294967295

param3 

  = 2

uScaleX 

  = 1029654

uScaleY 

  = 1029654

snIncrement   = 1
snNumericBase = 10
snMinDigits   = 3

all other values are set to 0

4.

E170X_jump_abs(boardIdx, 0, 0, 0)
E170X_mark_abs(boardIdx, 1197222, 0, 0)
E170X_mark_abs(boardIdx, 1197222, -1197222, 0)
E170X_mark_abs(boardIdx, 0, -1197222, 0)
E170X_mark_abs(boardIdx, 0, 0, 0)

 // draw a single rectangle which describes one 

DataMatrix cell (in this example only the outline without any hatching is done, hatches would have to 
be added here too

5.

E170X_dynamic_data2(boardIdx, NULL)

 // end the sequence of dynamic data

6.

E170X_execute(boardIdx)

7. Not shown here: waiting for card being busy, waiting for card being idle (which means writing of the Epr 

file to the microSd card has been finished), closing the connection to the controller

9.1.2 Error Codes

Most of the functions described above can return an error code in case an operation could not be completed 
successfully for any reason. So when it does not return with 

E170X_OK

 the error code informs about the 

reason for failure:

E170X_ERROR_INVALID_CARD

 – a wrong or illegal card number was specified with function 

parameter 

n

E170X_ERROR_NO_CONNECTION

 – a connection to card could not be established

E170X_ERROR_NO_MEMORY

 – there is not enough memory available on the host to perform the 

requested operation

E170X_ERROR_UNKNOWN_FW

 – card is running an unknown and/or incompatible firmware version

E170X_ERROR_TRANSMISSION

 – data transmission to card failed

101

background image

E170X_ERROR_FILEOPEN

 – opening of a file failed

E170X_ERROR_FILEWRITE

 – writing of data into a file failed

E170X_ERROR_BORD_NA

 – a base- or extension board that would be required for a function is not 

available

E170X_ERROR_INVALID_DATA

 – data or parameters handed over to a function are invalid, out of 

range or illegal in current context

E170X_ERROR_UNKNOWN_BOARD

 – trying to access a controller board that is not a suitable controller

E170X_ERROR_FILENAME

 – a file name handed over to a function was illegal, it is either too long, has 

an illegal or too long file extension, comes with too much sub-directories or contains illegal characters

E170X_ERROR

 – an other, unspecified error occurred

E170X_ERROR_NOT_SUPPORTED

 – the requested feature or function is not supported by the current 

firmware version

E170X_ERROR_STILL_IN_PROGRESS

 – the requested function could not be executed because the 

controller is still busy, this happens e.g. in cases where a stand-alone operation is running on the 
controller which is not under control of the programming interface

9.1.3 Compatibility

Prior to software version 7.3 all functions and definitions of the E1701 Easy Interface Functions made use of 
the prefix 

E1701_

. This prefix is still valid for all constants and functions but can be used for E1701 controller 

cards only.

For full compatibility with future versions of the E170X-series of scanner controller cards, please use the newer 
functions and defines that are marked with the 

E1701X_

 prefix. These functions ensure full upwards-

compatibility with new hardware versions and updated programming interfaces. So using these functions, 
porting an existing software to upcoming, newer hardware variants will be easier – and can be done in best case 
just by recompiling existing code against a new DLL/SO.

9.2 RTC4 Compatibility Functions

Beside the easy programming interface described above, prior to software version 8.0, a bunch of additional 
functions is provided that are compatible to the ones known from RTC4 scanner controller card. So to use 
E1701 scanner card with existing code that supports the RTC4 scanner controller, following few steps have to 
be done:

insert a call to 

E170X_set_connection()

 into existing RTC4-code as very first in order to specify 

the communication connection for E1701 card (this is the only exception where an E1701 Easy 
Interface Function should be used together with an RTC Compatibility Function)

recompile the existing RTC4-application so that it uses e1701inter.DLL/libe1701inter.so instead of 
RTC4DLL.dll/libslrtc4.so

In case E1701 card has to be operated with default settings, no recompilation is necessary, here e1701inter.dll / 
libe1701inter.so just has to be renamed to RTC4DLL.dll / libslrtc4.so.

Since most relevant RTC4 functions are already provided, majority of existing applications should work now 
without any further modifications. Due to the completely different concept of E1701 scanner controller, there 
are some differences to the original RTC4 programming interface which should be checked in case of some 
errors:

all RTC4 functions that exist as list- and non-list-commands are treated like a list command

list switch commands are ignored since E1701 does not make use of separated lists internally

output of already sent marking data is started on calls to 

n_execute_list()

execute_list()

n_set_end_of_list()

 or 

set_end_of_list()

some functions are not implemented or always return a default value (please refer below for a list of 
not implemented RTC4 functions)

Following functions are specific to RTC4 hardware or do not make sense in relation to E1701 scanner card and 
therefore aren't supported. These functions exist in libe1701inter, but do not provide any functionality:

n_load_z_table()

102

background image

load_z_table()
n_set_defocus_list()
set_defocus_list()
n_set_offset_list()
set_offset_list()
n_laser_on_list()
laser_on_list()
n_set_list_jump()
set_list_jump()
n_set_input_pointer()
set_input_pointer()
n_list_call()
list_call()
n_list_return()
list_return()
n_z_out_list()
z_out_list()
n_timed_jump_abs()
timed_jump_abs()
n_timed_mark_abs()
timed_mark_abs()
n_timed_jump_rel()
timed_jump_rel()
n_timed_mark_rel()
timed_mark_rel()
n_set_fly_rot()
set_fly_rot()
n_fly_return()
fly_return()
n_calculate_fly()
calculate_fly()
n_select_cor_table_list()
select_cor_table_list()
n_set_wait()
set_wait()
n_simulate_ext_start()
simulate_ext_start()
n_set_pixel_line()
set_pixel_line()
n_set_pixel()
set_pixel()
n_set_extstartpos_list()
set_extstartpos_list()
n_laser_signal_on_list()
laser_signal_on_list()
n_laser_signal_off_list()
laser_signal_off_list()
n_set_io_cond_list()
set_io_cond_list()
n_clear_io_cond_list()
clear_io_cond_list()
n_list_jump_cond()
list_jump_cond()
n_list_call_cond()
list_call_cond()
n_save_and_restart_timer()
save_and_restart_timer()
n_set_ext_start_delay_list()
set_ext_start_delay_list()
n_set_trigger()
set_trigger()
n_arc_rel()
arc_rel()

103

background image

n_arc_abs()
arc_abs()
drilling()
regulation()
flyline()
n_get_input_pointer()
get_input_pointer()
n_get_marking_info()
get_marking_info()
n_auto_change_pos()
auto_change_pos()
aut_change()
n_start_loop()
start_loop()
n_quit_loop()
quit_loop()
n_write_da_2()
write_da_2()
n_set_max_counts()
set_max_counts()
n_set_offset()
set_offset()
n_disable_laser()
disable_laser()
n_enable_laser()
enable_laser()
n_stop_list()
stop_list()
n_restart_list()
restart_list()
n_get_xyz_pos()
get_xyz_pos()
n_get_xy_pos()
get_xy_pos()
n_select_list()
select_list()
n_z_out()
z_out()
n_laser_signal_on()
laser_signal_on()
n_laser_signal_off()
laser_signal_off()
n_set_delay_mode()
set_delay_mode()
n_set_piso_control()
set_piso_control()
n_select_status()
select_status()
n_get_encoder()
get_encoder()
n_select_cor_table()
select_cor_table()
n_execute_at_pointer()
execute_at_pointer()
n_get_head_status()
get_head_status()
n_simulate_encoder()
simulate_encoder()
n_set_hi()
set_hi()
n_release_wait()
release_wait()
n_get_wait_status()

104

background image

get_wait_status()
n_set_ext_start_delay()
set_ext_start_delay()
n_home_position()
home_position()
n_set_rot_center()
set_rot_center()
n_read_ad_x()
read_ad_x()
n_read_pixel_ad()
read_pixel_ad()
n_get_z_distance()
get_z_distance()
n_get_time()
get_time()
n_set_defocus()
set_defocus()
n_set_softstart_mode()
set_softstart_mode()
n_set_softstart_level()
set_softstart_level()
n_control_command()
control_command()
load_cor()
load_pro()
n_get_serial_number()
get_serial_number()
n_get_serial_number_32()
get_serial_number_32()
get_hi_data()
n_auto_cal()
auto_cal()
n_get_list_space()
get_list_space()
teachin()
n_get_value()
get_value()
set_duty_cycle_table()
n_move_to()
move_to()
getmemory()
n_get_waveform()
get_waveform()
n_measurement_status()
measurement_status()
n_load_varpolydelay()
load_varpolydelay()
n_write_da_2_list()
write_da_2_list()

9.3 USC1/2 Compatibility Functions (SCI interface)

Beside the easy programming interface described above a bunch of additional functions is provided that are 
compatible to the ones known from SCI programming interface used for USC1/2 scanner controller card. So to 
use E1701 scanner card with existing code that supports the USC1 or USC2 scanner controller, following steps 
have to be done:

insert a call to 

E170X_set_connection() 

into existing code as very first in order to specify the 

communication connection for E1701 card (this is the only exception where an E1701 Easy Interface 
Function should be used together with an USC1/2 Compatibility Function)

recompile the existing SCI-application so that it uses e1701inter.DLL instead of sc_optic.dll

In case E1701 card has to be operated with default settings, no recompilation is necessary, here e1701inter.dll 
just has to be renamed to sc_optic.dll.

105

background image

Since most relevant SCI functions are already provided, majority of existing applications should work now 
without any further modifications. Due to the different concept of E1701 scanner controller, there are some 
differences to the original SCI programming interface which should be checked in case of troubles:

all USC1/2 functions/types that exist as stream- and non-stream-variants are treated like a stream 
command

output of already sent marking data is started on call to 

ScSCIFlush()

 latest

some functions are not implemented or always return a default value (please refer below of a list of not 
implemented SCI functions)

Following functions are specific to USC1/2 hardware or do not make sense in relation to E1701 scanner card 
and therefore aren't supported. These functions exist in libe1701inter, but do not provide any functionality:

long ScSCISetContinuousMode()
long ScSCIGetContinuousMode()
long ScSCIDevicePixelLine()
long ScSCIRasterPixelLine()
long ScSCIRasterStart()
long ScSCIRasterEnd()
long ScSCIGetDeviceName()
long ScSCIGetDeviceCaps()
long ScSCIGetDeviceData()
long ScSCISetDeviceData()
long ScSCIGetExternalTrigger()
long ScSCISetExternalTriggerCount()
long ScSCIGetExternalTriggerCount()
long ScSCISetEnableHead()
long ScSCIGetEnableHead()
long ScSCISetZField()
long ScSCIGetZField()
long ScSCIGetZGain()
long ScSCISetZGain()
long ScSCIGetHomePosition()
long ScSCIGetZHomePosition()
long ScSCISetHomePosition()
long ScSCISetZHomePosition()
long ScSCIGetZOffset()
long ScSCISetZOffset()
long ScSCISetZWorkingArea()
long ScSCIGetZWorkingArea()
long ScSCIGetHomeJump()
long ScSCISetHomeJump()
long ScSCIMaxExternalTriggerCount()
long ScSCIResetExternalTriggerCount()
long ScSCISetDeviceEnableFlags()
long ScSCIGetDeviceEnableFlags()
long ScSCIGetDevicePath()
long ScSCISetDeviceMiscValueD()
long ScSCIGetDeviceMiscValueD()
long ScSCISetHeadCount()
long ScSCIStreamInfo()
long ScSCIGetSpeed()
long ScSCISetSpeed()
long ScSCIGetStyleSet()
long ScSCISetStyleSet()
long ScSCISetLoopMode()
long ScSCIGetLoopMode()
long ScSCISetLoop()
long ScSCIGetLoop()
long ScSCISetMessageWindow()
long ScSCISetAxisState()
long ScSCIGetAxisState()

106

background image

long ScSCISaveSettings()
long ScSCILoadSettings()
long ScSCIEditSettings()
long ScSCIUpdateDeviceStyle()
long ScSCIGetInterfaceVersion()
long ScSCIGetDebugMode()
long ScSCISetDebugMode()
long ScSCIGetIdentString()
long ScSCIGetDeviceMapLaserPort()
long ScSCISetDeviceMapLaserPort()
long ScSCIGetUSCInfoLong()

9.4 OLSC Compatibility Functions (Open Laser Show Controller interface)

Beside the easy programming interface described above, a bunch of additional functions is offered that provide 
an OLSC v2 compatible programming interface. So to use E1701 scanner card with existing code that supports 
the Open Laser Show Controller interface, following steps have to be done:

insert a call to 

E170X_set_connection() 

into existing code as very first in order to specify the 

communication connection for E1701 card (this is the only exception where an E1701 Easy Interface 
Function should be used together with an OLSC Compatibility Function)

recompile the existing OLSC-application so that it uses e1701inter.DLL

In case E1701 card has to be operated with default IP 192.168.2.254, none of the above steps and no 
recompilation is necessary, here e1701inter.dll just has to be renamed to the name of the DLL of the target 
device.

Since most relevant OLSC v2 functions are already provided, majority of existing applications should work now 
without any further modifications. Due to the different concept of E1701 scanner controller, there are some 
differences to the original OLSC v2 programming interface which should be checked in case of troubles. So 
some functions are not implemented and therefore always return a default value (please check behaviour of 
these functions related to your application).

107

background image

APPENDIX A – Wiring between E1701 and specific laser 
types

This appendix describes the wiring between the controller card and specific laser models when the E170Xdock 
(as described in “6.6 E1701dock Extension Board”) is not used or when it can’t be used because the laser comes 
with a non-standard, proprietary control interface.

Wiring between IPG YLP Series Type B, B1 and B2, GZTech YFPN series fiber 

laser

PLEASE NOTE: this wiring scheme is a non-binding policy, it may be incorrect due to changes in connected 
hardware. So in every case please check this table against specification and wiring documentation of the used 
laser!

Variant using E1701A or E1701D Baseboard, LP8 Extension Board and optional Digi I/O Extension Board for 
laser alarms and pilot laser.

Signal Name

Board

Connector / Pin

IPG Pin

LP0

LP8 Extension Board

Pin 1

Pin 1

LP1

Pin 3

Pin 2

LP2

Pin 5

Pin 3

LP3

Pin 7

Pin 4

LP4

Pin 9

Pin 5

LP5

Pin 11

Pin 6

LP6

Pin 13

Pin 7

LP7

Pin 15

Pin 8

MO / Main Oscillator

Pin 8

Pin 18

LP8 Latch

Pin 17

Pin 9

LaserA / Frequency

Pin 22

Pin 20

Laser Gate / 
Modulation

Pin 26

Pin 19

LaserB

Pin 19

Pin 22 *)

Alarm,
one of DIn0…DIn7

Digi I/O Extension 
Board

Pin 4, 6, 8, 10, 12, 14, 16 or 18

Pin 16

Alarm,
one of DIn0..DIn7

Pin 4, 6, 8, 10, 12, 14, 16 or 18

Pin 21

Pilot Laser: in 
software choose 
LaserB as output

*) may require additional power driver since some laser variants consume a current at this input which is higher 
than the maximum output allowed

In this wiring-scheme no GND-connections are listed, they have to be added in order to get valid and working 
connections.

108

background image

Wiring between E1701 and JPT YDFLP series fiber laser (“MOPA”) or IPG YLP 

Series Type D fiber laser or Raycus RFL PMX/PQB Series fiber laser

PLEASE NOTE: this wiring scheme is a non-binding policy, it may be incorrect due to changes in connected 
hardware. So in every case please check this table against specification and wiring documentation of the used 
laser!

Variant using E1701A or E1701D Baseboard, LP8 Extension Board and optional Digi I/O Extension Board for 
laser alarms and pilot laser.

Signal Name

Board

Connector / Pin

JPT D-SUB25 Pin

LP0

LP8 Extension Board

Pin 1

Pin 1

LP1 / serial data

Pin 3

Pin 2 

2

)

LP2 / serial clock

Pin 5

Pin 3 

2

)

LP3

Pin 7

Pin 4

LP4

Pin 9

Pin 5

LP5

Pin 11

Pin 6

LP6

Pin 13

Pin 7

LP7

Pin 15

Pin 8

MO / Main Oscillator

Pin 8

Pin 18

LP8 Latch

Pin 17

Pin 9

LaserA / Frequency

Pin 22

Pin 20

Laser Gate / Modulation

Pin 26

Pin 19

LaserB / serial enable

Pin 19

Pin 22 

1

2

)

Alarm,
one of DIn0…DIn7

Digi I/O Extension 
Board

Pin 4, 6, 8, 10, 12, 14, 16 or 18

Pin 16

Alarm,
one of DIn0…DIn7

Pin 4, 6, 8, 10, 12, 14, 16 or 18

Pin 21

Pilot Laser: in software 
choose LaserB as output

1

) for details regarding double-usage of this pin, please refer to the manual of the laser

2

) serial data transmission requires firmware version 28 or newer

In this wiring-scheme no GND-connections are listed, they have to be added in order to get valid and working 
connections.

109

background image

Wiring between E1701 and IPG YLP Series Type E fiber laser

PLEASE NOTE: this wiring scheme is a non-binding policy, it may be incorrect due to changes in connected 
hardware. So in every case please check this table against specification and wiring documentation of the used 
laser!

Variant using E1701A or E1701D Baseboard, LP8 Extension Board and Digi I/O Extension Board for laser 
alarms and pilot laser with support for APD index setting via DB-25 serial data interface

Signal Name

Board

Connector / Pin

IPG Pin

LP0

LP8 Extension Board

Pin 1

Pin 1

LP1

Pin 3

Pin 2

LP2

Pin 5

Pin 3

LP3

Pin 7

Pin 4

LP4

Pin 9

Pin 5

LP5

Pin 11

Pin 6

LP6

Pin 13

Pin 7

LP7

Pin 15

Pin 8

MO / Main Oscillator

Pin 8

Pin 18

LP8 Latch

Pin 17

Pin 9

LaserA / Frequency

Pin 22

Pin 20

Laser Gate / Modulation

Pin 26

Pin 19

LaserB

Pin 19

Pin 22 

1

)

Alarm, one of DIn0..DIn7

Digi I/O Extension 
Board

Pin 4, 6, 8, 10, 12, 14, 16 or 18

Pin 16

Alarm, one of DIn0..DIn7

Pin 4, 6, 8, 10, 12, 14, 16 or 18

Pin 21

Serial Enable

Pin 7

Pin 24 

2

)

Serial Clock

Pin 9

Pin 13 

2

)

Serial Data

Pin 11

Pin 10 

2

)

Pilot Laser: in software choose 
LaserB as output

1

) may require additional power driver since some laser variants consume a current at this input which is higher 

than the maximum output allowed

2

) serial data transmission requires firmware version 28 or newer

In this wiring-scheme no GND-connections are listed, they have to be added in order to get valid and working 
connections.

110

background image

Wiring between E1701 and IPG YLP Series Type F fiber laser

PLEASE NOTE: this wiring scheme is a non-binding policy, it may be incorrect due to changes in connected 
hardware. So in every case please check this table against specification and wiring documentation of the used 
laser!

Signal Name

Board

E1701D Connector / Pin

D-SUB25

LP0

LP8 Extension Board

Pin 1

Pin 1

LP1

Pin 3

Pin 2

LP2

Pin 5

Pin 3

LP3

Pin 7

Pin 4

LP4

Pin 9

Pin 5

LP5

Pin 11

Pin 6

LP6

Pin 13

Pin 7

LP7

Pin 15

Pin 8

MO / Main Oscillator

Pin 8

Pin 18

LP8 Latch

Pin 17

Pin 9

LaserA / Frequency

Pin 22

Pin 20

Laser Gate / Modulation

26 pin connector, pin 26

Pin 19

LaserB

Pin 19

Pin 22

GND

Pin 2 or 23

Pin 14

Alarm, one of DIn0…DIn7

Digi IO Extension Board

Pin 4, 6, 8, 10, 12, 14, 16 or 18

Pin 11

Alarm, one of DIn0…DIn7

Pin 4, 6, 8, 10, 12, 14, 16 or 18

Pin 16

Alarm, one of DIn0…DIn7

Pin 4, 6, 8, 10, 12, 14, 16 or 18

Pin 21

Pilot Laser: in software choose 
LaserB as output

111

background image

Wiring between E1701 and IPG YLR Series laser

PLEASE NOTE: this wiring scheme is a non-binding policy, it may be incorrect due to changes in connected 
hardware. So in every case please check this table against specification and wiring documentation of the used 
laser!

Signal Name

Board

Connector / Pin

IPG Pin

AOut0

LP8 Extension Board

Pin 10

Pin 12 

1

)

MO / Main 
Oscillator

Pin 8

Pin 18

Laser Gate / 
Modulation

Pin 26

Pin 15

Pilot Laser,
one of 
DOut0..DOut7

Digi I/O Extension Board Pin 3, 5, 7, 9, 11, 13, 15 or 17

Pin 17

1

) maximum analogue output voltage of LP8 extension is limited to 5V while this laser type expects 0..10V 

range. So this voltage needs to be doubled by some external equipment, elsewhere the laser can be driven with 
a maximum of 50% power only

In this wiring-scheme no GND-connections are listed, they have to be added in order to get valid and working 
connections.

112

background image

Wiring between E1701 and SPI G4 Pulsed Fibre Laser / TRUMPF TruPulse 

nano series

PLEASE NOTE: this wiring scheme is a non-binding policy, it may be incorrect due to changes in connected 
hardware. So in every case please check this table against specification and wiring documentation of the used 
laser!

Variant 1: waveform selected via LP8 outputs of LP8 Extension Board, simmer, power and extended parameter 
control via laser controller plug in/serial interface:

Signal Name

Board

Connector / Pin

SPI Laser 

Connector Pin

LP0

LP8 Extension Board

Pin 1

Pin 17

LP1

Pin 3

Pin 18

LP2

Pin 5

Pin 19

LP3

Pin 7

Pin 20

LP4

Pin 9

Pin 51

LP5

Pin 11

Pin 52

LP6

Pin 13

Pin 53

LP7

Pin 15

Pin 54

MO / Laser Enable

Pin 8

Pin 7

LP8 Latch

Pin 17

Pin 23

LaserA / Pulse 
Trigger

Pin 22

Pin 47

Laser Gate / 
Modulation

Pin 26

Pin 5

Alarm,
one of DIn0…DIn7

Digi I/O Extension Board

Pin 4, 6, 8, 10, 12, 14, 16 or 18

Pin 9

Pilot Laser,
one of DOut0…
DOut7

Pin 3, 5, 7, 9, 11, 13, 15 or 17

Pin 6

Variant 2: waveform selected via digital outputs of Digi I/O Extension Board, simmer, power and extended 
parameter control via laser controller plug in/serial interface:

Signal Name

Board

Connector / Pin

SPI Laser 

Connector Pin

DOut0

Digi I/O Extension Board

Pin 3

Pin 17

DOut1

Pin 5

Pin 18

DOut2

Pin 7

Pin 19

DOut3

Pin 9

Pin 20

DOut4

Pin 11

Pin 51

DOut5

Pin 13

Pin 52

DOut6

Pin 15

Pin 53

DOut7

Pin 17

Pin 23

Alarm,
one of DIn0…DIn7

Pin 4, 6, 8, 10, 12, 14, 16 or 18

Pin 9

Pilot Laser,
one of LP8_0…P8_7

LP8 Extension Board

Pin 1, 3, 5, 7, 9, 11, 13 or 15

Pin 6

MO / Laser Enable

Pin 8

Pin 7

LaserA / Pulse 
Trigger

Pin 22

Pin 47

Laser Gate / 
Modulation

Pin 26

Pin 5

113

background image

Variant 3: waveform selection, simmer, power and extended parameter control via laser controller plug in/serial 
interface:

Signal Name

Board

Connector / Pin

SPI Laser 

Connector Pin

MO / Laser Enable

LP8 Extension Board

Pin 8

Pin 7

LaserA / Pulse 
Trigger

Pin 22

Pin 47

Laser Gate / 
Modulation

Pin 26

Pin 5

Alarm,
one of DIn0…DIn7

Digi I/O Extension Board Pin 4, 6, 8, 10, 12, 14, 16 or 18

Pin 9

Pilot Laser,
one of LP8_0..LP8_7
or
one of DOut0…
DOut7

LP8 Extension Board
or
Digi I/O Extension Board

Pin 1, 3, 5, 7, 9, 11, 13 or 15
or
Pin 3, 5, 7, 9, 11, 13, 15 or 17

Pin 6

In these wiring-schemes no GND-connections are listed, they have to be added in order to get valid and 
working connections.

114

background image

Wiring between E1701 and Raycus fiber laser

PLEASE NOTE: this wiring scheme is a non-binding policy, it may be incorrect due to changes in connected 
hardware. So in every case please check this table against specification and wiring documentation of the used 
laser!

Variant using E1701A or E1701D Baseboard, LP8 Extension Board and optional Digi I/O Extension Board for 
laser alarms and pilot laser.

Signal Name

Board

Connector / Pin

Raycus DB25 Pin

LP0

LP8 Extension Board

Pin 1

Pin 1

LP1

Pin 3

Pin 2

LP2

Pin 5

Pin 3

LP3

Pin 7

Pin 4

LP4

Pin 9

Pin 5

LP5

Pin 11

Pin 6

LP6

Pin 13

Pin 7

LP7

Pin 15

Pin 8

MO / Main 
Oscillator

Pin 8

Pin 18

LaserA / Frequency

Pin 22

Pin 20

Laser Gate / 
Modulation

Pin 26

Pin 19

Alarm,
one of DIn0…DIn7

Digi I/O Extension Board

Pin 4, 6, 8, 10, 12, 14, 16 or 18

Pin 16

Alarm,
one of DIn0…DIn7

Pin 4, 6, 8, 10, 12, 14, 16 or 18

Pin 21

In this wiring-scheme no GND-connections are listed, they have to be added in order to get valid and working 
connections.

115

background image

Wiring between E1701 and MaxPhotonics MFP fiber laser

PLEASE NOTE: this wiring scheme is a non-binding policy, it may be incorrect due to changes in connected 
hardware. So in every case please check this table against specification and wiring documentation of the used 
laser!

Variant using E1701A or E1701D Baseboard, LP8 Extension Board and optional Digi I/O Extension Board for 
laser alarms and pilot laser.

Signal Name

Board

E1701x Pin

MaxPhotonic

s DB25 Pin

LP0

LP8 Extension Board

Pin 1

Pin 1

LP1

Pin 3

Pin 2

LP2

Pin 5

Pin 3

LP3

Pin 7

Pin 4

LP4

Pin 9

Pin 5

LP5

Pin 11

Pin 6

LP6

Pin 13

Pin 7

LP7

Pin 15

Pin 8

LP8 Latch

Pin 17

Pin 9

MO / Main Oscillator

Pin 8

Pin 18

LaserA / Frequency

Pin 22

Pin 20

Laser Gate / Modulation

Pin 26

Pin 19

GND

Pin 2 or 23

Pin 10-15

Alarm,
one of DIn0…DIn7

Digi I/O Extension 
Board

Pin 4, 6, 8, 10, 12, 14, 16 or 18

Pin 16

Alarm,
one of DIn0…DIn7

Pin 4, 6, 8, 10, 12, 14, 16 or 18

Pin 21

Pilot Laser, one of DOut0…
DOut7

Pin 3, 5, 7, 9, 11, 13, 15 or 17

Pin 22

In this wiring-scheme no GND-connections are listed, they have to be added in order to get valid and working 
connections.

116

background image

Wiring between E1701 and DAVI D-Series RF CO

2

 Laser

PLEASE NOTE: this wiring scheme is a non-binding policy, it may be incorrect due to changes in connected 
hardware. So in every case please check this table against specification and wiring documentation of the used 
laser!

Variant using E1701A or E1701D Baseboard and optional Digi I/O Extension Board for laser alarm.

Signal Name

Board

E1701x Pin

DAVI RJ45 Pin

DAVI RJ45 

Wire Colour

LaserA / Frequency

E1701x Baseboard

13

1

orange/white

GND

14

8

brown

Laser Ready input, one of 
DIn0…DIn7

Digi I/O Extension Board

Pin 4, 6, 8, 10, 
12, 14, 16 or 18

3

green/white

GND

2

6

green

117

background image

Wiring between E1701 and GZTECH S355 series DPSS Laser

PLEASE NOTE: this wiring scheme is a non-binding policy, it may be incorrect due to changes in connected 
hardware. So in every case please check this table against specification and wiring documentation of the used 
laser!

Variant using E1701D Baseboard.

Signal Name

Board

E1701D Pin

GZTECH DB9 

connector Pin

GZTECH Signal Name

LaserA / Frequency

E1701D Baseboard

13

3

PWM

GND

14

5

GND

LaserGate

26

2

Gate

Within BeamConstruct following settings have to be done in order to control the laser:

menu “Project”   “Project settings”   tab-pane “Scanner”   button “Configure”   parameter “Laser 

type” has to be set to value “YAG1”

menu “Project”   “Pen settings”   tab-pane “General”: the “Frequency” slider has to be set to an 

appropriate value (typically 30..50 kHz, please refer to the manual of the laser for further details), the 
“Power” slider has no effect as no additional power output was configured in scanner controller 
settings

menu “Project”   “Pen settings”   tab-pane “Laser”: the parameter “Pulse length” has to be set to an 

appropriate value (such as 1 usec, please refer to the manual of the laser for further details)

To use this laser model with BeamConstruct, HALsetup software package version 8.2-07 or newer is required.

118

background image

APPENDIX B – IDC connector pin numbering

Pin numbering of the IDC connectors (according to pinout-tables shown in hardware description sections 
above) can be seen in below image:

The first pin is marked by a small arrow in connector. Second pin is below of it, counting continues column-wise.

These connectrors itself are standard IDC connectors with 2,54 mm contact spacing.

119

background image

APPENDIX C – E1701D XY2-100 protocol description

The data submitted at 26 pin connector of E1701D are conform to XY2-100 specification:

CLK+

SYNC+

X+, Y+, Z+ Data

In standard 16 bit operating mode first three bits are set to 001, then 16 bit position data followed by a parity 
bit (even parity) are transmitted:

19

18

17

16

15

14

13

12

11

10

9

8

7

6

5

4

3

2

1

0

0

0

1

D15..D0 position data

Pe

In enhanced XY2-100 18 bit operating mode first bit is set to 1, then 18 bit position data followed by a parity bit 
(odd parity) are transmitted:

19

18

17

16

15

14

13

12

11

10

9

8

7

6

5

4

3

2

1

0

1

D17..D0 position data

Po

To use this mode, the related tune-value has to be set in configuration file (please refer to section “6.1.8 
microSD-Card
”), this mode requires firmware version 24 or newer

120

background image

APPENDIX D – E1701D XY3-100 protocol description

Depending on the actual configuration, the data submitted at 26 pin connector of E1701D are conform to XY3-
100 specification. For details about the XY3-100 protocol, please refer to 

https://sourceforge.net/p/lasia/blog/

.

121

background image

APPENDIX E – E1701D SL2-100 protocol description

The E1701D does not yet support the serial SL2-100 protocol. For further information please contact HALaser 
Systems.

122

background image

APPENDIX F – E1701D RL3-100 protocol description

The E1701D does not yet support the RL3-100 protocol. For further information please contact HALaser 
Systems.

123

background image

APPENDIX G – Board dimensions

E1701A/E1701D board dimension drawings (baseboard plus optional extension boards), all values are given in 
unit mm.

Connectors, bottom view:

Connectors, top view:

Board type

C

D

E1701A Baseboard

40 mm 7,3 mm

E1701D Baseboard

40 mm 7,3 mm

LP8 Extension Board

40 mm 7,3 mm

Digi I/O Extension Board

34 mm 10,3 mm

Secondary Head Extension Board 40 mm 7,3 mm

Dimensions, top view:

X

 – for future compatibility leave additional space of 10 mm at Ethernet connector 

side of the controller

124

background image

E170Xbase dimension drawing, all values are given in unit mm.

125

background image

Index
1

16-bit IO port - 25
18 bit - 23, 120
1803 - 12

2

2D marking on-the-fly - 44
2D on-the-fly - 22

8

8.3 - 30

A

Alive - 18
analogue output - 11
ASCII - 56
autofile - 21, 32

B

BeamConstruct PRO license - 13, 17
BNC - 50f.
boot - 26
Boot - 18

C

C45 rail - 54
C45 rail adapter - 54
C45 rail lock - 54
cdepr - 58
cdser - 62
cecho - 56
cfror - 60
cftim - 63
cgbds - 56
cgbsr - 57
cgbuf - 59
cgcor - 58
cgepr - 58
cginp - 64
cglog - 56
cgmtx - 60
cgser - 62
cgsta - 63
cgtim - 62
cgtin - 57
cgtxt - 61
chalt - 57
ciser - 62
cjsor - 21, 60
clepr - 33f., 58, 97
CLK - 28
cmsor - 21, 60
CO2 - 10f., 39f.
corrtable - 19, 58
corrtable0 - 19
cpuor - 60
cpwor - 21, 60

126

background image

crrrr - 63
crser - 62
crtim - 62
csbuf - 59
cscor - 20, 57
cslgt - 64
cslmo - 64
cslp8 - 64
csmtx - 61
csout - 64
cspof - 61
csser - 62
cssta - 23, 63
cstat - 57
cstdy - 63
csthr - 63
cstim - 62
cstmi - 63
cstmo - 63
cstop - 57
cstrt - 57
cstsc - 63
cstxt - 61
cstyr - 63
cswaf - 26, 61
ctlxy - 59
ctrig - 57
cvers - 56
CW - 10f., 27, 40

D

D-SUB15 - 28
D-SUB25 - 28f.
DataMatrix - 100
DAVI D-Series RF CO2 - 117
Digi I/O - 49
digidebc - 22
digiinit - 21
digimask - 22
digital in- and outputs - 41
dimension drawing - 124f.
dimensions - 124
DIN rail - 54
DIN/C45 rail adapter - 54
DIN/C45 rail lock - 54
Download new firmware - 71
DYN_DATA_MAX_STRING_LENGTH - 99f.

E

E1701_ - 102
e1701.cfg - 74
E1701.cfg - 19
E1701.dat - 19
E1701.fwi - 19
E1701A - 10f., 35
E1701D - 10, 14
E1701dock - 28f.
E1701M - 10
E1701X_ - 102
E170X_close() - 74, 97f.

127

background image

E170X_COMMAND_FLAG_ANA_AOUT0 - 92
E170X_COMMAND_FLAG_DIRECT - 80, 91ff., 96
E170X_COMMAND_FLAG_HIGH_LEVEL - 85
E170X_COMMAND_FLAG_MOTF_WAIT_BITS - 95
E170X_COMMAND_FLAG_MOTF_WAIT_INCS - 95
E170X_COMMAND_FLAG_PASSIVE - 93
E170X_COMMAND_FLAG_SCANNER_VAR_POLYDELAY - 78
E170X_COMMAND_FLAG_SILENT - 85
E170X_COMMAND_FLAG_STREAM - 80, 91ff., 96
E170X_COMMAND_FLAG_WRITE_LASERA_GPO - 96
E170X_COMMAND_FLAG_WRITE_LASERB_GPO - 96
E170X_COMMAND_FLAG_WRITE_LASERGATE - 96
E170X_COMMAND_FLAG_WRITE_LP8LATCH - 96
E170X_COMMAND_FLAG_WRITE_LP8MO - 96
E170X_COMMAND_FLAG_XYCORR_MIRRORX - 75
E170X_COMMAND_FLAG_XYCORR_MIRRORY - 75
E170X_CSTATE_FILE_WRITE_ERROR - 88
E170X_CSTATE_HALTED - 88
E170X_CSTATE_MARKING - 88
E170X_CSTATE_PROCESSING - 88
E170X_CSTATE_SAC_CTLXY - 59, 88
E170X_CSTATE_SAC_MARKING - 59, 88
E170X_CSTATE_SAC_READY - 59, 88
E170X_CSTATE_WAIT_EXTSIGNAL - 85
E170X_CSTATE_WAIT_EXTTRIGGER - 88
E170X_CSTATE_WAIT_INPUT - 88
E170X_CSTATE_WAS_START_PRESSED - 88
E170X_CSTATE_WAS_STOP_PRESSED - 88
E170X_CSTATE_WRITING_DATA - 71
E170X_CSTATE_WRITING_DATA_ERROR - 71
E170X_delay() - 88, 95
E170X_digi_pulse() - 93
E170X_digi_read() - 93
E170X_digi_set_mip_output() - 21, 95
E170X_digi_set_motf_sim( - 95
E170X_digi_set_motf_sim() - 94
E170X_digi_set_motf() - 94f.
E170X_digi_set_wet_output() - 21, 96
E170X_digi_wait_motf() - 95
E170X_digi_wait() - 94
E170X_digi_write() - 93
E170X_dynamic_data2() - 97f.
E170X_ERROR - 102
E170X_ERROR_BORD_NA - 102
E170X_ERROR_FILENAME - 102
E170X_ERROR_FILEOPEN - 102
E170X_ERROR_FILEWRITE - 102
E170X_ERROR_INVALID_CARD - 101
E170X_ERROR_INVALID_DATA - 102
E170X_ERROR_NO_CONNECTION - 101
E170X_ERROR_NO_MEMORY - 101
E170X_ERROR_NOT_SUPPORTED - 102
E170X_ERROR_STILL_IN_PROGRESS - 102
E170X_ERROR_TRANSMISSION - 101

E170X_ERROR_UNKNOWN_BOARD - 102
E170X_ERROR_UNKNOWN_FW - 101
E170X_execute() - 20, 73, 86f.
E170X_FILEMODE_LOCAL - 98
E170X_FILEMODE_SEND - 97f.
E170X_FREE_SPACE_PRIMARY - 85, 90

128

background image

E170X_FREE_SPACE_SECONDARY - 90
E170X_get_card_state() - 85, 87f.
E170X_get_free_space() - 73, 85, 90
E170X_get_library_version() - 91
E170X_get_pos() - 82
E170X_get_serial_number() - 91
E170X_get_startstop_state() - 87
E170X_get_sync() - 86
E170X_get_version() - 90
E170X_halt_execution() - 87f.
E170X_jump_abs() - 81, 95
E170X_LASERMODE_CO2 - 79
E170X_LASERMODE_CRF - 80
E170X_LASERMODE_DFREQ - 80, 89
E170X_LASERMODE_MOPA - 80
E170X_LASERMODE_YAG1 - 79
E170X_LASERMODE_YAG2 - 79
E170X_LASERMODE_YAG3 - 79, 90
E170X_load_correction() - 73f., 98
E170X_lp8_ana_write() - 92
E170X_lp8_write_latch() - 91
E170X_lp8_write_mo() - 92
E170X_lp8_write() - 91
E170X_mark_abs() - 81, 95
E170X_mark_pixelline() - 84
E170X_OK - 101
E170X_PIXELMODE_GATE_POWER_CONTROL - 83
E170X_PIXELMODE_HW_POWER_CONTROL - 83
E170X_PIXELMODE_JUMP_LEAVE_POWER - 83
E170X_PIXELMODE_JUMP_N_SHOOT - 83
E170X_PIXELMODE_NO_JUMPS - 83
E170X_power_callback - 84
E170X_release_trigger_point() - 85, 90, 95
E170X_set_connection() - 73, 82, 96ff.
E170X_set_debug_logfile() - 75
E170X_set_filepath() - 97f.
E170X_set_fpk() - 90
E170X_set_laser_delays() - 78, 83
E170X_set_laser_mode() - 78
E170X_set_laser_timing() - 89
E170X_set_laser() - 80
E170X_set_laserb() - 80, 89
E170X_set_matrix() - 75, 84
E170X_set_overspeed() - 77
E170X_set_password() - 20, 74
E170X_set_pixelmode() - 83
E170X_set_pos() - 82
E170X_set_scanner_delays - 78
E170X_set_scanner_delays() - 78
E170X_set_signal_point() - 85
E170X_set_speeds() - 77
E170X_set_standby() - 89
E170X_set_sync() - 86
E170X_set_trigger_point() - 73, 85, 95

E170X_set_wobble() - 80
E170X_set_xy_correction() - 75
E170X_set_xy_correction2() - 84
E170X_set_z_correction2() - 76
E170X_stop_execution() - 7, 86f.
E170X_switch_correction() - 75

129

background image

E170X_write() - 96
E1803_COMMAND_FLAG_ZCORR_MIRRORZ - 76
electrically insulated - 41
electrostatic sensitive device - 9
enhanced XY2-100 - 23, 120
EPR - 30, 58
Error - 18
ESD - 9
eth - 25
Ethernet - 10f., 14f., 19f., 25, 35
extension - 29, 38, 40, 47
ExtStart - 51, 59, 85, 95f.
ExtStop - 51, 86

F

fiber - 39
fiber laser - 109
fiber lasers - 40
file extension - 30
filename - 30
Firmware - 26
FPK - 10f., 40, 50

G

gateway - 25
grid correction - 10f.
GZTECH S355 series DPSS - 118
GZTech YFPN - 49, 108

H

HALnode Compact Ethernet IO - 25
haltedloop - 21, 32, 34
haltedlooptimeout - 21, 32

I

idxselect - 21, 33f., 58f.
ILDA - 37, 48
in-polygon delay - 78
Interlock - 37
iobuff - 21, 33, 59
iohaltedloop - 21, 32, 34, 58
iolatch - 20, 34
ioselect - 21, 30, 32ff., 58f.
iothres - 20
IP - 14, 19
ip1 - 19
IPG - 10f., 39, 49
IPG YLP - 49, 108ff.
IPG YLR - 112

J

JPT - 49
JPT YDFLP - 49, 109
jump delay - 78, 81

L

Laser LED - 14, 19, 35, 37
laser off delay - 81
laser on delay - 81
Laser Show - 107

130

background image

Laser signals - 39
Laser Signals - 39
LaserA - 40
LaserB - 40
lasergate - 22
Latch - 40
LED - 18, 36
libslrtc4.so - 102
load_correction_file() - 74
loop - 32
LP8 - 24, 40, 48

M

main oscillator - 24
mark delay - 78, 81
Marking Active - 18
marking on-the-fly - 11, 41f.
Marking On-The-Fly - 43
Master Oscillator - 11, 39f.
MaxPhotonics - 49, 116
MaxPhotonics MFP - 49, 116
MFP - 49
Micro-SD - 19
Micro-SD-card - 14, 35
Micro-SD-Card - 19, 37
mipout - 21
MO - 24, 40
MO LED - 39
MOPA - 49, 109
MOPA alarm - 51

N

n_load_correction_file() - 74
netmask - 25
node0 - 25
node1 - 25
NOTE - 14
NTP - 24

O

OLSC - 107
Opto-Configuration - 41, 44
opto-insulated - 42

P

passwd - 20
pethd - 25
polydelay - 78
Power - 14, 35
Power LED - 14, 18f., 35f.
Power supply - 17, 36
pulse-width modulated frequency - 40
PWM - 40, 50
PWM frequency - 10f.

Q

Q-Switch - 10f., 40
quadrature encoder - 11

131

background image

R

Raycus - 49, 115
Raycus RFL-PMX - 49
Raycus RFL-PQB - 49
Reset - 14, 19
RFL-PMX - 49
RFL-PQB - 49
RL3-100 - 123
RTC4 - 102
RTC4DLL.dll - 102

S

ScSCIInitInterface() - 74
SL2-100 - 122
SNTP - 24
SPI - 11
SPI G4 - 113
Stand-Alone - 32
Stand-Alone Control - 34
standalone - 20
Stop - 18
SYNC - 28

T

tune - 22
tunemarkout - 22f., 34
tunereadyout - 22f., 34
turn on laser - 59
Type B - 108
Type D - 109
Type E - 110
Type F - 111

U

USB - 14, 17, 35
USB 2.0 - 10f.
User LEDs - 14, 35

V

value - 96

W

waveform - 113f.
wetout - 21
Windows - 15f.

X

XY2-100 - 49
XY2/100 - 10, 14, 27f.
XY3-100 - 10, 14, 23, 27f., 49, 121

Y

YAG - 10f., 39f.
YAG/CO2 - 50
YDFLP - 49
YLP - 49

.

.bco - 74

132

background image

.crt - 74
.ct5 - 74
.ctb - 74
.fcr - 74
.gcd - 74
.txt - 74
.ucf - 74
.xml - 74

133